logo

Crowdly

Browser

Add to Chrome

4º ESO MAT MARGA

Looking for 4º ESO MAT MARGA test answers and solutions? Browse our comprehensive collection of verified answers for 4º ESO MAT MARGA at www3.gobiernodecanarias.org.

Get instant access to accurate answers and detailed explanations for your course questions. Our community-driven platform helps students succeed!

Elige la opción correcta:

1) La factorización del polinomio     es ...

0%
0%
0%
View this question

Elige la opción correcta:

1) Las raíces del polinomio    son...

0%
100%
0%
View this question

Realiza la siguiente operación:

0%
0%
0%
0%
View this question

¿Cuál es la factorización del polinomio   ?

100%
0%
0%
0%
View this question

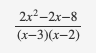
Simplifica la siguiente fracción algebraica:

 

0%
0%
0%
100%
View this question

Calcula P(x) + 3Q(x) - 2R(x) con los siguientes polinomios:

0%
100%
0%
0%
View this question

¿Cuál es el resto de la división   ?

0%
0%
0%
0%
View this question

Calcula la expresión:

0%
0%
0%
0%
View this question

El valor numérico del polinomio  en x = -2 es...

0%
0%
0%
100%
View this question

Averigua el valor de "k" para que el valor del polinomio     en x = -2 sea 35.

0%
0%
0%
0%
View this question

Want instant access to all verified answers on www3.gobiernodecanarias.org?

Get Unlimited Answers To Exam Questions - Install Crowdly Extension Now!

Browser

Add to Chrome