logo

Crowdly

Browser

Add to Chrome

2024-2025 MATEMÀTIQUES III (20204007)

Looking for 2024-2025 MATEMÀTIQUES III (20204007) test answers and solutions? Browse our comprehensive collection of verified answers for 2024-2025 MATEMÀTIQUES III (20204007) at campusvirtual.urv.cat.

Get instant access to accurate answers and detailed explanations for your course questions. Our community-driven platform helps students succeed!

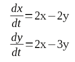
Classifica el punt crític del sistema autònom següent:

a
View this question
View this question
View this question
View this question
View this question
View this question
View this question
View this question
View this question
View this question

Want instant access to all verified answers on campusvirtual.urv.cat?

Get Unlimited Answers To Exam Questions - Install Crowdly Extension Now!

Browser

Add to Chrome