logo

Crowdly

Browser

Add to Chrome

ВИЩА МАТЕМАТИКА -2 (091 - Біологія, 101 – Екологія)

Looking for ВИЩА МАТЕМАТИКА -2 (091 - Біологія, 101 – Екологія) test answers and solutions? Browse our comprehensive collection of verified answers for ВИЩА МАТЕМАТИКА -2 (091 - Біологія, 101 – Екологія) at distedu.ukma.edu.ua.

Get instant access to accurate answers and detailed explanations for your course questions. Our community-driven platform helps students succeed!

Обчисліть інтеграл 

View this question

Знайти коефіцієнт при першому ненульовому члені

розвинення розв’язку задачі Коші 

у ряд Маклорена

View this question

Знайти значення R для степеневого ряду 

Відповідь подати числом

View this question

Укажіть загальний розв’язок диференціального рівняння .

0%
0%
0%
View this question

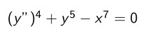
Яка функція є розв’язком диференціального рівняння  ?

0%
0%
0%
0%
View this question

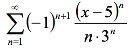
Дано ряд: . Область збіжності цього ряду  - ?

Увага до поведінки ряду на кінцях інтервалу збіжності!

0%
0%
0%
0%
0%
View this question

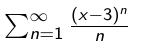
Подайте розв’язок диференціального рівняння  у вигляді . У відповідь запишіть значення

View this question

Множина інтегральних кривих диференціального рівняння   має вигляд . За якого значення константи  інтегральна крива проходить через точку ? Визначте це значення та запишіть його у відповідь.

View this question

Що називається диференційним рівнянням першого порядку?

0%
0%
0%
0%
0%
View this question

Порядок диференційного рівняння дорівнює

50%
0%
0%
50%
0%
View this question

Want instant access to all verified answers on distedu.ukma.edu.ua?

Get Unlimited Answers To Exam Questions - Install Crowdly Extension Now!

Browser

Add to Chrome