logo

Crowdly

Browser

Add to Chrome

ВИЩА МАТЕМАТИКА -2 (091 - Біологія, 101 – Екологія)

Looking for ВИЩА МАТЕМАТИКА -2 (091 - Біологія, 101 – Екологія) test answers and solutions? Browse our comprehensive collection of verified answers for ВИЩА МАТЕМАТИКА -2 (091 - Біологія, 101 – Екологія) at distedu.ukma.edu.ua.

Get instant access to accurate answers and detailed explanations for your course questions. Our community-driven platform helps students succeed!

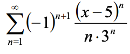
Дано ряд: . Область збіжності цього ряду  - ?

Увага до поведінки ряду на кінцях інтервалу збіжності!

0%
0%
0%
0%
0%
View this question

Знайти значення R для степеневого ряду 

Відповідь подати числом

View this question

Відомо, що деякий числовий знакозмінний ряд є збіжним. 

Виберіть всі твердження, які  можуть бути справедливими для такого ряду.

0%
0%
View this question

Відомо, що деякий числовий ряд є абсолютно збіжним. 

Виберіть всі твердження, які завжди справедливі для абсолютно збіжного ряду.

0%
0%
0%
0%
View this question

Відомо, що деякий числовий ряд є умовно збіжним. 

Виберіть всі твердження, які завжди справедливі для умовно збіжного ряду.

0%
0%
0%
0%
View this question

Який ряд називається умовно збіжним?

0%
0%
0%
View this question

Відомо, що деякий числовий  знакосталий ряд  є  збіжним. 

Виберіть всі твердження, які завжди справедливі для такого ряду.

0%
0%
0%
0%
0%
View this question

Який ряд називається абсолютно збіжним?

0%
0%
0%
0%
0%
View this question

Want instant access to all verified answers on distedu.ukma.edu.ua?

Get Unlimited Answers To Exam Questions - Install Crowdly Extension Now!

Browser

Add to Chrome