logo

Crowdly

Browser

Add to Chrome

Теорія електричних та магнітних кіл

Looking for Теорія електричних та магнітних кіл test answers and solutions? Browse our comprehensive collection of verified answers for Теорія електричних та магнітних кіл at distosvitart.gnomio.com.

Get instant access to accurate answers and detailed explanations for your course questions. Our community-driven platform helps students succeed!

Послідовно з’єднані R, L, C. При якій умові векторна діаграма має вигляд, зображений на рисунку?

0%
0%
0%
0%
0%
View this question

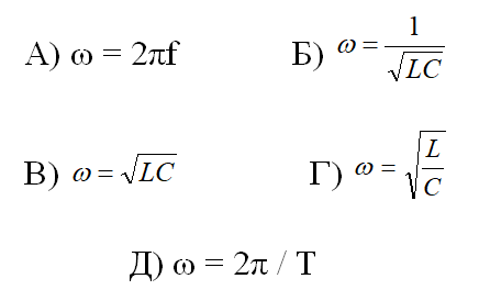
Визначити, за якою формулою розраховується резонансна частота

View this question

Визначити, чому дорівнює загальний опір кола при резонансі напруг

0%
0%
0%
0%
0%
View this question

R, L, C з’єднані послідовно. Визначити струм кола, якщо напруга на затискачах кола U = 120 В, опори: ХL = 12 Ом, ХC = 4 Ом, R= 6 Ом.

(відповідь надати числом)

View this question

Визначити, чому дорівнює загальна потужність кола при резонансі напруг

View this question

Послідовно з’єднані R, L, C. При якій умові векторна діаграма має вигляд, зображений на рисунку?

0%
0%
0%
0%
0%
View this question

Назвіть умови виникнення резонансу напруг (виберіть ВСІ вірні відповіді)

0%
0%
0%
0%
0%
0%
View this question

R, L, C з’єднані послідовно. Падіння напруги на окремих ділянках кола дорівнюють UL = 60 В, UC = 60 В, UR = 30 В. Визначити напругу на затискачах кола (відповідь надати числом)

View this question

R, L, C з’єднані послідовно. Падіння напруги на окремих ділянках кола дорівнюють UL = 12 В, UC = 3 В, UR = 6 В. Визначити реактивну напругу кола (відповідь надати числом)

View this question

Визначити, за якою формулою розраховується резонансна частота

View this question

Want instant access to all verified answers on distosvitart.gnomio.com?

Get Unlimited Answers To Exam Questions - Install Crowdly Extension Now!

Browser

Add to Chrome