logo

Crowdly

Browser

Add to Chrome

Теорія електричних та магнітних кіл

Looking for Теорія електричних та магнітних кіл test answers and solutions? Browse our comprehensive collection of verified answers for Теорія електричних та магнітних кіл at distosvitart.gnomio.com.

Get instant access to accurate answers and detailed explanations for your course questions. Our community-driven platform helps students succeed!

Як називається ділянка електричного кола, яка складається з одного або декількох послідовно з’єднаних елементів, струм вздовж яких в визначений момент часу має одне значення?

View this question

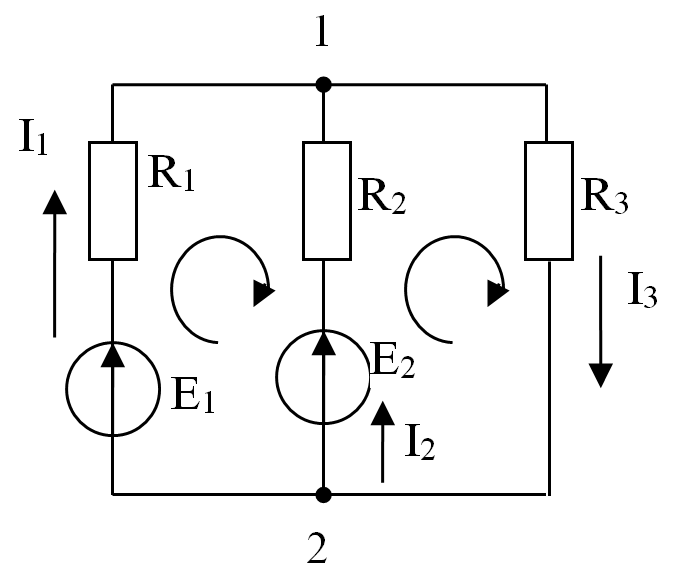
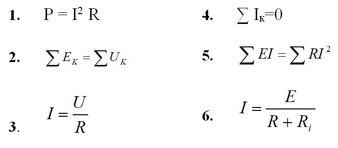
Виберіть рівняння по другому закону Кірхгофа для другого контуру даної схеми.

View this question

Встановіть відповідність між електричними величинами та їх визначеннями

View this question

Встановіть відповідність

View this question

Want instant access to all verified answers on distosvitart.gnomio.com?

Get Unlimited Answers To Exam Questions - Install Crowdly Extension Now!

Browser

Add to Chrome