logo

Crowdly

Browser

Add to Chrome

Вища математика- ІІІ

Looking for Вища математика- ІІІ test answers and solutions? Browse our comprehensive collection of verified answers for Вища математика- ІІІ at dl.kfk.sumdu.edu.ua.

Get instant access to accurate answers and detailed explanations for your course questions. Our community-driven platform helps students succeed!

Обчислити визначник 3-го порядку: 

View this question

ЯКий із наведених нижче добутків входить у визначник третього порядку :

0%
0%
100%
0%
View this question

Добутки а11а22а33 і а12а21а33 входять у визначник третього порядку із знаками відповідно: 

 

0%
0%
0%
0%
View this question

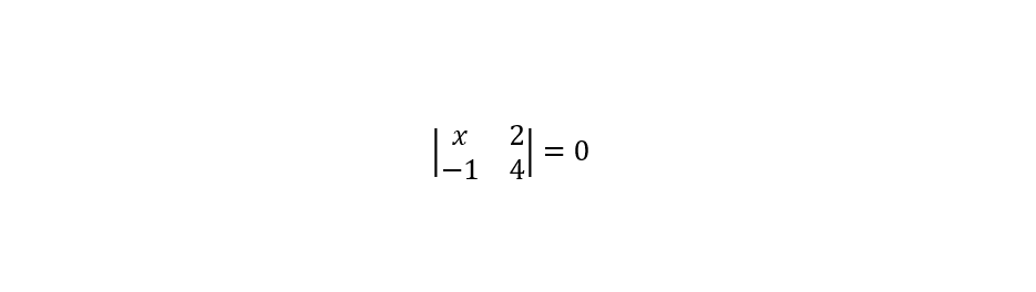
Знайти корінь рівняння: 

0%
100%
0%
0%
0%
View this question

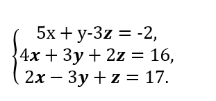
Розв'язати систему лінійних рівнянь методом Крамера і у відповідь записати суму коренів.

View this question

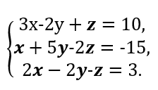
Розв'язати систему лінійних рівнянь методом Крамера і у відповідь записати суму усіх його коренів.

View this question

Знайти добуток  матриць. У відповідь запишіть суму елементів, що знаходяться на головній діагоналі матриці, яка вийде у відповіді.

View this question

Вибрати правильне твердження:

0%
0%
0%
0%
View this question

Розв'язати нерівність : 

0%
0%
0%
0%
0%
View this question

Матриця А називається узгодженою з матрицею В, якщо 

0%
0%
0%
0%
0%
View this question

Want instant access to all verified answers on dl.kfk.sumdu.edu.ua?

Get Unlimited Answers To Exam Questions - Install Crowdly Extension Now!

Browser

Add to Chrome