logo

Crowdly

Browser

Add to Chrome

Моделювання процесів та систем

Looking for Моделювання процесів та систем test answers and solutions? Browse our comprehensive collection of verified answers for Моделювання процесів та систем at dl.nure.ua.

Get instant access to accurate answers and detailed explanations for your course questions. Our community-driven platform helps students succeed!

В функції корисності часткових критеріїв 

-  означає

0%
100%
View this question

Обчисліть норму матриці    

формулв

0%
0%
0%
0%
View this question

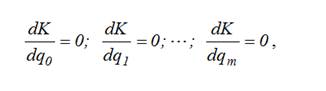
Потрібно визначити складові формули (поставити у відповідність)

View this question

Обчисліть норму вектора  

формула

0%
0%
100%
0%
View this question

Обчисліть норму вектора  

формула

0%
50%
0%
50%
View this question

Для чого використовують формули

формула

0%
0%
0%
0%
View this question

Обчисліть норму вектора  

формула

0%
0%
0%
0%
View this question

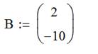
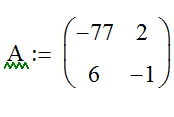
Обчисліть число обумовленості матриці    А, якщо відома зворотна матриця

формулаформула

100%
0%
0%
View this question
Поставьте в відповідність питання та відповіді для програми

Rsp Table V$Per 0,10,10

Per Fvariable 10#Fn$ZR

ZR Function Rn1 C24

0,0/.1,.104/.2,.222/.3,.355/.4,.509/.5,.69/.6,.915

.7,1.2/.75,1.38/.8,1.6/.84,1.83/.88,2.12/.9,2.3/.92,2.52

.94,2.81/.95,2.99/.96,3.2/.97,3.5/.98,3.9/.99,4.6

.995,5.3/.998,6.2/.999,7/1,8

Generate 1

Tabulate Rsp 1

Terminate 1

Start 1000

View this question

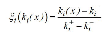
Для заданих вхідних даних потрібно знайти оптимальний варіант рішення , якщо відомі значення часткових критеріїв для альтернативних рішень Xi ,

 k1->maxk2->mink3->maxξ1(х)ξ2(х)ξ3(х)
х140,6538,0226,420,877  0,006  0,238 
х243,2838,0928,191,000  0,001  0,391 
х321,8634,1423,670,001  0,363  0,001 
х437,5027,2227,880,730  1,000  0,365 
х534,3730,4829,310,584  0,700  0,488 
х638,7532,0335,220,789  0,557  1,000 

 значення вагових коефіцієнтів часткових критеріїв 
λ1=0.2λ2=0.7λ3=0.1
, обчислений параметр , де  ε =0,3  - похибка

Оптимальне рішення знайти за формулою 

0%
0%
0%
0%
View this question

Want instant access to all verified answers on dl.nure.ua?

Get Unlimited Answers To Exam Questions - Install Crowdly Extension Now!

Browser

Add to Chrome