logo

Crowdly

Browser

Add to Chrome

Моделювання процесів та систем

Looking for Моделювання процесів та систем test answers and solutions? Browse our comprehensive collection of verified answers for Моделювання процесів та систем at dl.nure.ua.

Get instant access to accurate answers and detailed explanations for your course questions. Our community-driven platform helps students succeed!

Для ВАШОГО ВАРІАНТУ ( див. номера варіантів)  потрібно знайти вектор початкових умов ,

розрахувати  за методом Рунге-Кутта динаміку вільного руку об'єкта з кроком=1 та надайте табличне подання траєкторій (ПРИКРІПИТЬ файл  МathCAD з розв'язком  або СКРИНШОТ для версії   PTC MathCAD PRIME - файл-скриншот розрахунків)

Вкажіть в текстовому полі номер варіанту та  скриншот значень з методичних вказівок

ПРИКЛАД

Зверніть увагу, що індексація масивів  починається з одиниці. Для цього потрібно  вказати  перед розрахунками

View this question

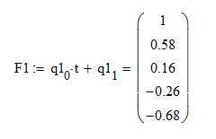
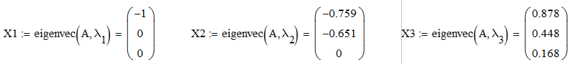
За умовами задачі як  обираємо власний вектор , що  має всі ненульові координати.

Серед обчисленних власних векторів 

потрібно обрати вектор початкових умов 

0%
0%
0%
View this question

Потрібно обчислити  власні вектори     матриці  

Виберіть правильні значення власних векторів для заданої матриці А

- власні числа матриці

0%
0%
0%
0%
View this question

За допомогою MathCAD потрібно розрахувати прогнозне значення на наступний момент часу, якщо відомо   методами 

експоненціального згладжування  

та ковзного середнього  

View this question

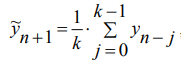
Оберіть правильну відповідність назви методу та формули для прогнозу,  якщо відомі  -значення об'єкту дослідження

View this question

Який тип поліноміальної моделі краще використовувати для прогнозу . Висновок зробіть на основі аналізу суміщених графіків  поліномів для вхідних даних 

0%
0%
0%
0%
View this question
Обчисліть прогнозне значення на  наступний момент часу   за допомогою отриманих поліноміальних  моделей  якщо 

View this question

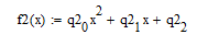
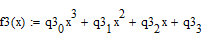
Встановіть відповідність  значень критерію найменших квадратів  та ступень поліному  для вхідних даних

Перевірте свої припущення в MathCAD

View this question

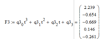
Нехай відомо:

Потрібно за допомогою MathCAD  методом найменших квадратів  розв'язати СЛАР відносно параметрів моделі,  визначити коефіцієнти поліному 4го ступеня            та побудувати  суміщений графік отриманого поліному й вхідних даних.

Виберіть правильне  зображення графіку  

0%
0%
0%
0%
View this question

Для вхідних даних 

потрібно побудувати СЛАР та обчислити параметри поліному 4 ступеню

100%
0%
0%
0%
View this question

Want instant access to all verified answers on dl.nure.ua?

Get Unlimited Answers To Exam Questions - Install Crowdly Extension Now!

Browser

Add to Chrome