logo

Crowdly

Browser

Add to Chrome

1 Комп`ютерна дискретна математика

Looking for 1 Комп`ютерна дискретна математика test answers and solutions? Browse our comprehensive collection of verified answers for 1 Комп`ютерна дискретна математика at dl.nure.ua.

Get instant access to accurate answers and detailed explanations for your course questions. Our community-driven platform helps students succeed!

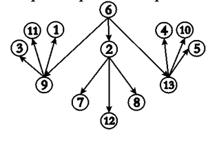
Що називається алгоритмом

обходу дерев:

View this question

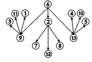
Оберіть формулу відповідну наведеному дереву

0%
0%
0%
View this question

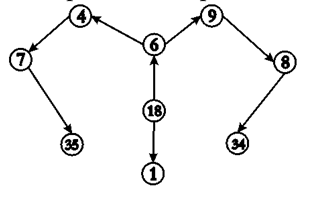
Скільки листя в заданому орієнтованому дереві

View this question

Скільки нащадків має вершина з номером 1

View this question

Напишіть послідовність проходження вершин при прямому порядку обходу (Запис через кому та без відступів, приклад: 4,5,10,35,17)

View this question

Перерахуйте в порядку зростання висячі вершини наведеного дерева (Запис через кому та без відступів, приклад: 4,5,10,35,17)

View this question

Яка вершина є коренем наведеного дерева (Номер вершини)

View this question

Скільки рівнів має задане орієнтоване дерево

View this question

Запишіть зворотний обхід

дерева

(Запис через кому та без відступів, приклад: 4,5,10,35,17)

View this question

Скільки внутрішніх вершин міститься в наведеному орієнтованому дереві

View this question

Want instant access to all verified answers on dl.nure.ua?

Get Unlimited Answers To Exam Questions - Install Crowdly Extension Now!

Browser

Add to Chrome