logo

Crowdly

Browser

Add to Chrome

1 Комп`ютерна дискретна математика

Looking for 1 Комп`ютерна дискретна математика test answers and solutions? Browse our comprehensive collection of verified answers for 1 Комп`ютерна дискретна математика at dl.nure.ua.

Get instant access to accurate answers and detailed explanations for your course questions. Our community-driven platform helps students succeed!

Який код

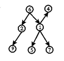
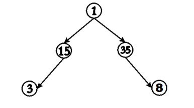
відповідає дереву Т ?

View this question

перерахуйте в порядку зростання внутрішні вершини наведеного дерева (Запис через кому та без відступів, приклад: 4,5,10,35,17)

View this question

Скільки остовних дерев можна побудувати на наведеному графі

View this question

Яке із дерев є бінарним

View this question

Запишіть обхід «у глибину зверху вниз» (Запис через кому та без відступів, приклад: 4,5,10,35,17)

View this question

-

Запишіть послідовність

проходження вершин при синтаксичному обході (Запис через кому та без відступів, приклад: 4,5,10,35,17)

View this question

Які з наведених формул є суперечливими

100%
0%
0%
0%
View this question

Яка формула

логіки висловлень є вірною для запису такого речення:

«Логіка – не утіха, і сьогодні неділя», де:

P – «логіка – утіха»;

Q – «сьогодні неділя»;
100%
0%
0%
0%
0%
View this question

Яка формула логіки висловлень є вірною для запису такого речення: «Оскільки я ліг пізно спати, я проспав і через це не пішов на заняття

»,

де:

P - «я ліг пізно спати»;

Q - «я проспав»;

S - «

я пішов на

заняття

»

0%
0%
0%
0%
0%
View this question

Які з наведених формул є загальнозначущими?

0%
0%
0%
0%
0%
View this question

Want instant access to all verified answers on dl.nure.ua?

Get Unlimited Answers To Exam Questions - Install Crowdly Extension Now!

Browser

Add to Chrome