logo

Crowdly

Browser

Add to Chrome

1 Комп`ютерна дискретна математика

Looking for 1 Комп`ютерна дискретна математика test answers and solutions? Browse our comprehensive collection of verified answers for 1 Комп`ютерна дискретна математика at dl.nure.ua.

Get instant access to accurate answers and detailed explanations for your course questions. Our community-driven platform helps students succeed!

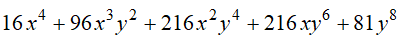
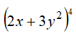
Побудувати

розкладання

, використовуючи формулу бінома Ньютона.

0%
50%
0%
0%
50%
View this question

Кількість мінтермів, що

містить ДДНФ функції

f(x,y,z)

, яка дорівнює нулю на п’яти

інтерпретаціях

View this question
Бінарні дерева еквівалентні, якщо вони:

0%
100%
0%
0%
View this question

Яка з

формул рівнозначна даній

 ?

0%
0%
50%
0%
50%
View this question

На зборах з 80 чоловік вибирають голову, секретаря

й трьох членів редакційної комісії. Визначте скількома способами це можна

зробити.

0%
0%
0%
0%
0%
View this question

Визначте скількома способами 12 п'ятаків можна

розкласти по 5 гаманцям так, щоб жоден гаманець не виявився порожнім.

0%
0%
0%
100%
0%
View this question

Визначте скільки 6–значних чисел можна скласти із

цифр 3 і 5.

100%
0%
0%
0%
0%
View this question

Визначте скільки способів розселення можна

запропонувати 7 студентам у трьох кімнатах: одномісній, двомісній й

чотиримісній.

0%
0%
0%
0%
0%
View this question

У фірмі 8 програмістів. Їм доручено розробити

програмний комплекс із трьох програмних модулів. Визначте скількома способами

це можна зробити, за умови, що кожний розробляє одну програму.

0%
0%
0%
100%
0%
View this question

Виберіть, скільки п'ятизначних номерів можна

скласти з дев'яти цифр (1,2,3,4,5,6,7,8,9).

0%
0%
0%
0%
0%
View this question

Want instant access to all verified answers on dl.nure.ua?

Get Unlimited Answers To Exam Questions - Install Crowdly Extension Now!

Browser

Add to Chrome