logo

Crowdly

Browser

Add to Chrome

1 Комп`ютерна дискретна математика

Looking for 1 Комп`ютерна дискретна математика test answers and solutions? Browse our comprehensive collection of verified answers for 1 Комп`ютерна дискретна математика at dl.nure.ua.

Get instant access to accurate answers and detailed explanations for your course questions. Our community-driven platform helps students succeed!

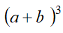
Скільки членів має біном

Ньютона виразу

, якщо b від’ємне число

View this question

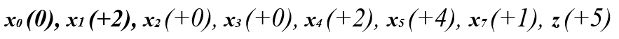
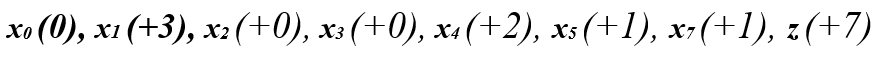
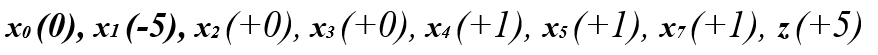
Запишіть позначки всіх вузлів

0%
0%
0%
0%
View this question

Виберіть вершини графа G, які задають множину розрізу A і множину A with bar on top

0%
0%
0%
0%
View this question

Виберіть величину пропускної здатності ребра X0X2

View this question

Яку максимальну течію можно передати

по обраному шляху

View this question

Побудувати шлях по позначкам від виходу до входу

View this question

Задана

транспортна мережа. Початкова течія в мережі дорівнює

View this question

Задається

матриця пропускних здатностей графа

G

. Знайти

мінімальний переріз, який відокремлює вершини

v subscript 1 і v subscript 7.

View this question

На

рисунку зображена мережа, на якій коло кожної дуги задається її пропускна здатність

Знайти

мінімальний переріз, який відокремлює вершини

s і t ?

View this question

Задається

матриця пропускних здатностей графа

G

. Знайти

мінімальний переріз, який відокремлює вершини

v subscript 1 і v subscript 7.

View this question

Want instant access to all verified answers on dl.nure.ua?

Get Unlimited Answers To Exam Questions - Install Crowdly Extension Now!

Browser

Add to Chrome