logo

Crowdly

Browser

Add to Chrome

Проєктування систем автоматизації

Looking for Проєктування систем автоматизації test answers and solutions? Browse our comprehensive collection of verified answers for Проєктування систем автоматизації at dl.stpp.sumy.ua.

Get instant access to accurate answers and detailed explanations for your course questions. Our community-driven platform helps students succeed!

До схем управління приводами виробничих механізмів

0%
0%
0%
0%
View this question

Введіть літерне позначення елементу електричної схеми (заголовні літери)

View this question

Принципові схеми, які входять до проектів автоматизації - це схеми

View this question

Введіть літерне позначення елементу електричної схеми (заголовні літери)

View this question

Введіть літерне умовне позначення пристрою, що зображений на рисунку

View this question

Система електроживлення містить у собі:

View this question

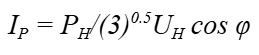
Для визначення розрахункових струмів кіл можуть використовуються такі формули

View this question

На рисунку зображена

0%
0%
0%
View this question

Номінальний струм вимикача SF5 становить ...... А

View this question

До схем автоматичного регулювання і управління відносяться

View this question

Want instant access to all verified answers on dl.stpp.sumy.ua?

Get Unlimited Answers To Exam Questions - Install Crowdly Extension Now!

Browser

Add to Chrome