logo

Crowdly

Browser

Add to Chrome

Теорія прийняття рішень

Looking for Теорія прийняття рішень test answers and solutions? Browse our comprehensive collection of verified answers for Теорія прийняття рішень at do.ipo.kpi.ua.

Get instant access to accurate answers and detailed explanations for your course questions. Our community-driven platform helps students succeed!

На множині альтернатив {1,2,3,4} задане неасиметричне відношення R.

Для того, щоб альтернатива 4 була максимальним елементом по R, необхідно:

View this question

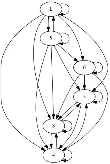
Для бінарного відношення, заданого графом:

множина строго найбільших елементів

співпадає із множиною:

0%
100%
0%
0%
View this question

Для бінарного відношення, заданого графом:

оптимізація за домінуванням полягає у знаходженні:

0%
0%
0%
0%
0%
0%
View this question

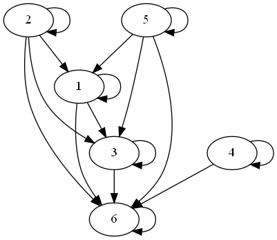
Для бінарного відношення, заданого графом:

множина строго максимальних елементів

складається з альтернатив:

0%
0%
0%
0%
100%
0%
100%
View this question

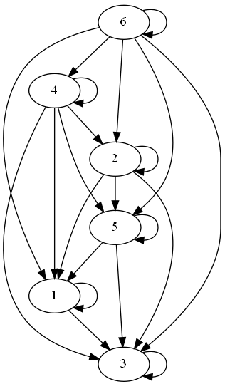
Визначити, до якого класу належить бінарне відношення, задане графом:

0%
0%
0%
0%
0%
0%
0%
0%
0%
View this question

Які з бінарних відношень, задані графами, є симетричними:

0%
0%
100%
0%
0%
0%
0%
View this question
View this question

Для відношення, заданого графом, визначити R-(1) - нижній переріз в точці 1

0%
0%
0%
0%
0%
0%
View this question
View this question

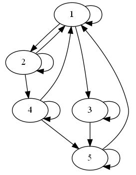
Для відношення, заданого графом, визначити R-(4) - нижній переріз в точці 4

0%
100%
0%
0%
0%
100%
View this question

Want instant access to all verified answers on do.ipo.kpi.ua?

Get Unlimited Answers To Exam Questions - Install Crowdly Extension Now!

Browser

Add to Chrome