logo

Crowdly

Browser

Add to Chrome

Комп'ютерне моделювання процесів і систем

Looking for Комп'ютерне моделювання процесів і систем test answers and solutions? Browse our comprehensive collection of verified answers for Комп'ютерне моделювання процесів і систем at do.ipo.kpi.ua.

Get instant access to accurate answers and detailed explanations for your course questions. Our community-driven platform helps students succeed!

 

Вкажіть,

які методи використовуються для розв

язання

систем нелінійних рівнянь.

0%
0%
0%
0%
View this question

Дайте визначення обчислювального експерименту.

0%
0%
0%
0%
View this question

  

Вкажіть необхідні і достатні умови існування тільки одного кореня

рівняння

f(x)=0 на відрізку [a,b].

0%
0%
0%
0%
View this question

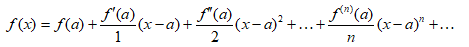
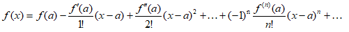
Наведіть загальний вигляд формули представлення

функції

 в вигляді степеневого

ряду Тейлора.

0%
0%
0%
0%
View this question

 

Наведіть

розрахункову формулу  модифікованого

методу Ньютона.

0%
0%
0%
0%
View this question

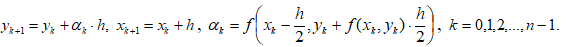
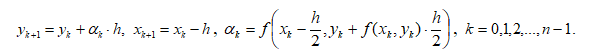
Наведіть формулу розв’язання

диференціальних рівнянь (задачі Коші) за модифікованим методом Ейлера.

0%
0%
0%
0%
View this question

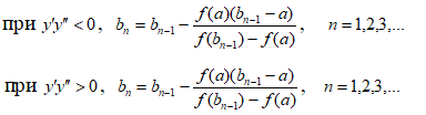
Вкажіть

умову збіжності методу Зейделя.

0%
0%
0%
0%
View this question

 

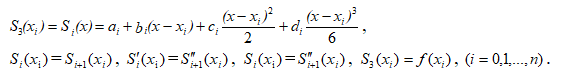
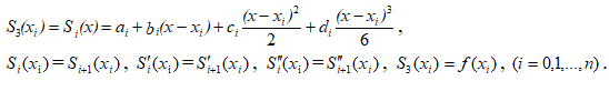
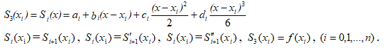
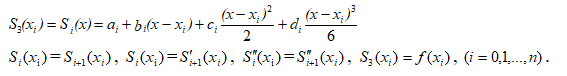
Наведіть

властивості кубічного сплайну.

0%
0%
0%
0%
View this question

Наведіть формулу визначення похибки обчислення визначеного

інтеграла за методом прямокутників.

0%
0%
0%
0%
View this question

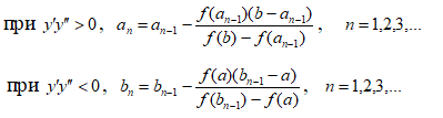
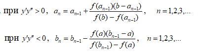
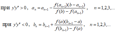
 Вкажіть формули уточнення кореня рівняння f(x)=0 за методом хорд.

0%
0%
0%
0%
View this question

Want instant access to all verified answers on do.ipo.kpi.ua?

Get Unlimited Answers To Exam Questions - Install Crowdly Extension Now!

Browser

Add to Chrome