logo

Crowdly

Browser

Add to Chrome

Комп'ютерне моделювання процесів і систем

Looking for Комп'ютерне моделювання процесів і систем test answers and solutions? Browse our comprehensive collection of verified answers for Комп'ютерне моделювання процесів і систем at do.ipo.kpi.ua.

Get instant access to accurate answers and detailed explanations for your course questions. Our community-driven platform helps students succeed!

 

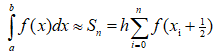
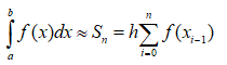
Наведіть формулу обчислення визначеного інтегралу за

допомогою методу лівих прямокутників.

0%
0%
0%
0%
View this question

Наведіть формулу обчислення визначеного інтегралу за

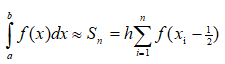
допомогою методу середніх прямокутників.

0%
0%
0%
0%
View this question

Наведіть сутність методології комп’ютерного моделювання процесів і систем.

0%
0%
0%
0%
View this question

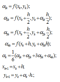
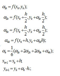
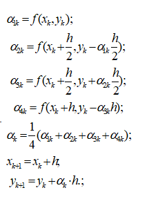
Наведіть формулу розв’язання

диференціальних рівнянь за методом Рунге-Кутта..

0%
0%
0%
0%
View this question

Наведіть

першу інтерполяційну формулу Ньютона при нерівно віддалених вузлах.

0%
0%
0%
0%
View this question

 

Наведіть

формулу Адамса розв’язання диференціальних рівнянь.

0%
0%
0%
0%
View this question

 

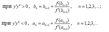
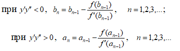
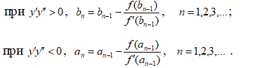
Вкажіть формули методу дотичних (методу Ньютона) уточнення

кореня нелінійного рівняння 

f(x)=0.

0%
0%
0%
0%
View this question

 

Вкажіть

методи розв’язання СЛАР, що відносяться до точних.

0%
0%
0%
0%
View this question

  

Вкажіть

методи розв’язання систем лінійних алгебраїчних рівнянь, що використовують

вибір головного елемента.

0%
0%
0%
0%
View this question

Назвіть методи уточнення коренів рівняння f(x)=0, що не вимагають визначення похідних функції f(x)

0%
0%
0%
0%
View this question

Want instant access to all verified answers on do.ipo.kpi.ua?

Get Unlimited Answers To Exam Questions - Install Crowdly Extension Now!

Browser

Add to Chrome