logo

Crowdly

Browser

Add to Chrome

Комп'ютерне моделювання процесів і систем

Looking for Комп'ютерне моделювання процесів і систем test answers and solutions? Browse our comprehensive collection of verified answers for Комп'ютерне моделювання процесів і систем at do.ipo.kpi.ua.

Get instant access to accurate answers and detailed explanations for your course questions. Our community-driven platform helps students succeed!

  

Наведіть одно крокові методи

розв’язання диференціальних рівнянь (задачі Коші).

0%
0%
0%
0%
View this question

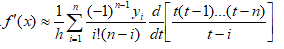
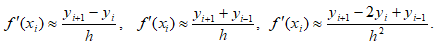
Наведіть формулу першої похідної функції для будь якого

внутрішнього вузла інтерполяції за допомогою формули Лагранжа.

0%
0%
0%
0%
View this question

 

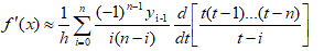
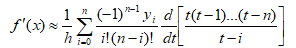
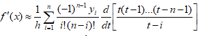
Наведіть формулу першої похідної функції за допомогою

інтерполяційного полінома Лагранжа.

0%
0%
0%
0%
View this question

 

Вкажіть методи розв’язання

систем лінійних алгебраїчних рівнянь, що вимагають обчислення визначників.

0%
0%
0%
0%
View this question

 

Вкажіть,

як формулюється задача наближення функцій.

0%
0%
0%
0%
View this question

Вкажіть, як визначається граничне значення випадкової величини.

0%
0%
0%
0%
View this question

 

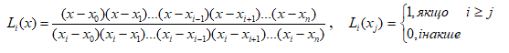
Наведіть

загальний вигляд коефіцієнта Лагранжа та його властивість.

0%
0%
0%
0%
View this question

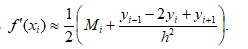
Наведіть формулу першої похідною функції, комбінуючи

сплайнову і різницеву апроксимації.

0%
0%
0%
0%
View this question

Вкажіть як визначається граничне значення відносної похибки функції.

0%
0%
0%
0%
View this question

  

Вкажіть

 умови збіжності ітераційних методів.

0%
0%
0%
0%
View this question

Want instant access to all verified answers on do.ipo.kpi.ua?

Get Unlimited Answers To Exam Questions - Install Crowdly Extension Now!

Browser

Add to Chrome