logo

Crowdly

Browser

Add to Chrome

Теорія ймовірностей і математична статистика

Looking for Теорія ймовірностей і математична статистика test answers and solutions? Browse our comprehensive collection of verified answers for Теорія ймовірностей і математична статистика at do.ipo.kpi.ua.

Get instant access to accurate answers and detailed explanations for your course questions. Our community-driven platform helps students succeed!

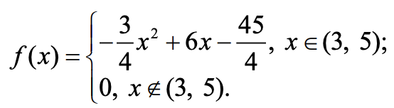
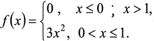
Випадкова величина X задана щільністю розподілупп

Знайти математичне сподівання випадкової величини.

0%
0%
0%
0%
View this question

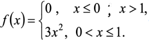
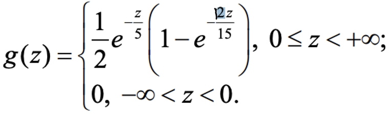
Випадкову величину задано функцією щільності :

рис

Обчислити її моду.

0%
0%
0%
0%
View this question
Проведено п’ять одночасних підкидань двох монет. Знайти ймовірність того, що рівно у трьох підкиданнях з’явилось по два герба (відповідь заокруглити до тисячних).:
0%
0%
0%
0%
View this question

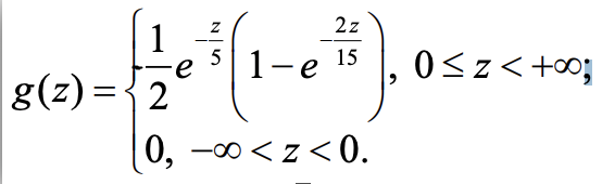
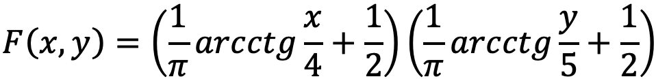
Випадкову величину задано функцією розподілу :

рис

Обчислити її початковий момент порядку 4.

0%
100%
0%
0%
View this question

Для незалежних випадкових величин Х і Y відомі щільності

їх розподілів

T

Знайти щільність розподілу випадкової величини Z = X+Y .

0%
100%
0%
0%
View this question

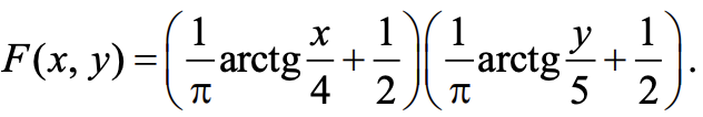
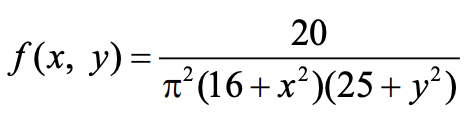
За відомою щільністю розподілу двовимірної випадкової

величини ( X Y, )

у

За відомою щільністю розподілу двовимірної випадкової

величини ( X Y, )

0%
100%
0%
0%
View this question

Задано дискретну двовимірну випадкову величину:

q

Встановити, чи залежні компоненти Х та Y.

0%
100%
0%
0%
View this question

Випадкові неперервні величини X і Y незалежні тоді і

тільки тоді, коли:

100%
100%
0%
0%
View this question
Значення функції лаплпса для значень Х, які перевищують 5, дорівнює:
0%
0%
100%
0%
View this question
Інтеграл від функція щільності випадкової величини Х, взятий по всій числовій вісі, дорівнює:
0%
0%
100%
0%
View this question

Want instant access to all verified answers on do.ipo.kpi.ua?

Get Unlimited Answers To Exam Questions - Install Crowdly Extension Now!

Browser

Add to Chrome