logo

Crowdly

Browser

Add to Chrome

Теорія ймовірностей і математична статистика

Looking for Теорія ймовірностей і математична статистика test answers and solutions? Browse our comprehensive collection of verified answers for Теорія ймовірностей і математична статистика at do.ipo.kpi.ua.

Get instant access to accurate answers and detailed explanations for your course questions. Our community-driven platform helps students succeed!

Кожен з двох студентів відповідає на два поставлені

питання. Ймовірність правильної відповіді на питання у першого студента

дорівнює 0,9, у другого – 0,8. Встановити, чи залежні, чи незалежні компоненти

системи (

X,Y), де X – кількість правильних відповідей у першого студента, Y – кількість правильних відповідей у другого студента.

0%
0%
View this question

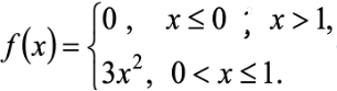
Випадкову

величину

X задано функцією розподілу :

а

Обчислити

ймовірність

попадання випадкової величини в інтервал (-p

і/4, -pі/8) (Відповідь заокруглити до тисячних).

0%
0%
0%
100%
View this question

с

0%
0%
0%
100%
View this question

Чи є наведена функція функцією розподілу неперервної випадкової величини?

в

0%
100%
View this question

Нехай сумісний закон розподілу випадкових величин X1

та

X

2 має вигляд:

Обчислити кореляційний момент системи випадкових величин (X,Y)

0%
0%
100%
0%
View this question

. У таблиці наведено дані про місця, що займають 8 провідних

компаній галузі за собівартістю продукції (фактор х) та часткою ринку (фактор у).

Обчислити коефіцієнт рангової кореляції Спірмена.Обчислити коефіцієнт рангової  кореляції Спірмена

ошз

0%
0%
0%
0%
View this question

Випадкову величину задано функцією розподілу :

рис

Обчислити її центральний момент порядку 2.

0%
0%
0%
0%
View this question

Яке потрібно взяти значення у нерівності Чебишова, що,коли відомо,що D(X)=9.

0%
0%
0%
0%
View this question

Авіакомпанія протягом доби виконує 2 рейси до аеропорту

Бориспіль. Ймовірність затримки першого рейсу дорівнює 0,1, другого - 0,05.

Скласти закон розподілу системи (

X,Y), де X – кількість затримок 1 рейсу, Y – сумарна кількість затримок обох рейсів.

0%
33%
0%
0%
View this question

Є вибіркові дані по n=8 студентам: X – кількість прогулів за певний період часу та Y – сумарна успішність за цей період:

ппЗнайти коефіцієнт кореляції Фехнера.

0%
0%
0%
0%
View this question

Want instant access to all verified answers on do.ipo.kpi.ua?

Get Unlimited Answers To Exam Questions - Install Crowdly Extension Now!

Browser

Add to Chrome