logo

Crowdly

Browser

Add to Chrome

Теорія ймовірностей і математична статистика

Looking for Теорія ймовірностей і математична статистика test answers and solutions? Browse our comprehensive collection of verified answers for Теорія ймовірностей і математична статистика at do.ipo.kpi.ua.

Get instant access to accurate answers and detailed explanations for your course questions. Our community-driven platform helps students succeed!

Задано

закон розподілу системи двох дискретних випадкових величин (X,Y):

п

Обчислити M(Y), D(Y).

0%
0%
0%
100%
View this question

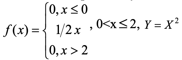
Випадкова величина Х задана щільністю розподілу

Знайти D(Y).

0%
0%
0%
0%
View this question

Річна виручка авіакомпанії від перевезень пасажирів

– випадкова величина з середнім значенням 250 млн. гр

н

. і стандартним (середнім квадратичним) відхиленням

30 млн. гр

н

. Знайти оцінку

ймовірності того, що виручка буде знаходитись в межах від 200 до 300 млн. гр

н

0%
0%
0%
0%
View this question

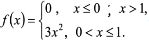
Випадкову величину задано функцією розподілу :

р

Обчислити її середньоквадратичне відхилення (Відповідь заокруглити до десятитисячних).

0%
0%
0%
0%
View this question

Задано дискретну двовимірну випадкову величину:

q

Знайти математичне сподівання компоненти X

0%
0%
0%
100%
View this question

Задана

дискретна випадкова величина:

xi

1

2

3

4

5

pi

0,4

0,1

0,3

0,1

0,1

Обчислити ймовірність

попадання в інтервал

[1;4).

100%
0%
0%
0%
View this question

Дискретна випадкова величина Х задана законом розподілу:

x

1

3

5

p

0,4

0,1

0,5

Випадкова

величина

Y=3X. Знайти M(Y).

0%
100%
0%
0%
View this question

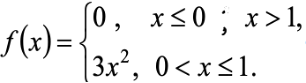
Випадкову величину задано функцією розподілу :

рис

Обчислити її центральний момент порядку 2.

0%
0%
0%
100%
View this question

Величина Х - 1,2,3,4,5, а величиина Y - 4,5,6,7,18. Обчислити коефіцієнт рангової кореляції Кендалла між ними.

0%
0%
0%
0%
View this question

. У таблиці наведено дані про місця, що займають 8 провідних

компаній галузі за собівартістю продукції (фактор х) та часткою ринку (фактор у).

Обчислити коефіцієнт рангової кореляції Спірмена.Обчислити коефіцієнт рангової  кореляції Спірмена

ошз

0%
0%
0%
0%
View this question

Want instant access to all verified answers on do.ipo.kpi.ua?

Get Unlimited Answers To Exam Questions - Install Crowdly Extension Now!

Browser

Add to Chrome