logo

Crowdly

Browser

Add to Chrome

Теорія ймовірностей і математична статистика

Looking for Теорія ймовірностей і математична статистика test answers and solutions? Browse our comprehensive collection of verified answers for Теорія ймовірностей і математична статистика at do.ipo.kpi.ua.

Get instant access to accurate answers and detailed explanations for your course questions. Our community-driven platform helps students succeed!

Коваріаційна матриця є:

0%
0%
100%
0%
View this question

Підприємство споживає для опалення щоденно в середньому 400 м3 газу. Яке можна очікувати споживання кількості газу за один день з ймовірністю, не меншою ніж 0,975, якщо середнє квадратичне відхилення споживання газу становить 20м3?

0%
0%
0%
0%
View this question

Випадкова подія A може здійснитися при одному

експерименті з імовірністю p. Експеримент повторили n раз. Яка

ймовірність того, що при цьому виконується нерівність 

?

0%
0%
0%
0%
View this question

Кількість опадів, що випадають у даній місцевості

протягом року, є випадковою величиною Х, причому М(Х)=55 см. Оцінити

ймовірність того, що в цій місцевості опадів випаде не більш 175 см (відповідь заокруглити до сотих).

0%
0%
0%
0%
View this question

Величина Х - 1,2,3,4,5, а величиина Y - 5,4,3,2,1. Обчислити коефіцієнт рангової кореляції Спірмена між ними.

100%
0%
0%
0%
View this question

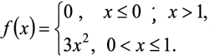
Випадкову величину задано функцією розподілу :

рис

Обчислити її початковий момент порядку 4.

0%
0%
0%
0%
View this question

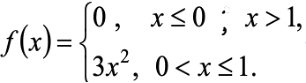
Випадкову величину задано функцією розподілу :

р

Обчислити її середньоквадратичне відхилення (Відповідь заокруглити до десятитисячних).

0%
0%
0%
0%
View this question

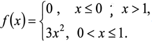
Випадкову величину задано функцією розподілу :

рис

Обчислити її математичне сподівання.

0%
0%
100%
0%
View this question

Задано дискретну двовимірну випадкову величину:

q

Знайти математичне сподівання компоненти Y

0%
0%
0%
0%
View this question

Бензоколонка заправляє легкові та вантажні машини.

Імовірність того, що проїжджаючий легковий автомобіль буде 

заправлятися, дорівнює 0,4. Знайти межі, в яких з імовірністю не

менш ніж 0,81 знаходиться відносна частота легкових

автомобілів, що заправилися протягом двох годин, якщо за цей

час проїхало всього 150 автомобілів.

100%
0%
0%
0%
View this question

Want instant access to all verified answers on do.ipo.kpi.ua?

Get Unlimited Answers To Exam Questions - Install Crowdly Extension Now!

Browser

Add to Chrome