logo

Crowdly

Browser

Add to Chrome

Теорія ймовірностей і математична статистика

Looking for Теорія ймовірностей і математична статистика test answers and solutions? Browse our comprehensive collection of verified answers for Теорія ймовірностей і математична статистика at do.ipo.kpi.ua.

Get instant access to accurate answers and detailed explanations for your course questions. Our community-driven platform helps students succeed!

ц

0%
100%
0%
0%
View this question

У спостереженні за погодою, ймовірність дощу в день становить 0.3. Яка ймовірність, що у 1000 днях відносна частка днів з дощем буде від 0.28 до 0.32?

0%
100%
0%
0%
View this question

За даними служби перевезень аеропорту кількість

затриманих за метеоумовами рейсів складає 7% від їх загальної щорічної кількості.

Наступного року планується виконати 1400 рейсів. Застосовуючи теорему Бернуллі оцінити ймовірність того, що в наступному році

відносна частота затримки рейсів відхилиться від її ймовірності за абсолютною

величиною менше ніж на 0,02

.

0%
0%
0%
0%
View this question

Дана дискретна випадкова величина Х

р

та Y = sin X. Знайти M(Y).

0%
0%
0%
100%
View this question

Задано

закон розподілу системи двох дискретних випадкових величин (X,Y):

и

Знайти

невідому константу a.

0%
100%
0%
0%
View this question

Величина Х - 1,2,3,4,5, а величиина Y - 2,4,6,8,10. Обчислити коефіцієнт кореляції Пірсона між ними.

0%
100%
0%
0%
View this question

Завод виготовляє деталі, з яких 2% браковані. Яка ймовірність, що в партії з 5000 деталей відносна частка бракованих буде в межах від 1.8% до 2.2%?

100%
0%
0%
0%
View this question

При вимірюванні курсу літака систематична похибка

приладу відсутня, а випадкова похибка має середнє квадратичне відхилення 0,5.

Оцінити ймовірність того, що при вимірюванні курсу похибка буде менша 1.

0%
0%
0%
0%
View this question

Задано

закон розподілу системи двох дискретних випадкових величин (X,Y):

п

Обчислити M(X).

0%
0%
0%
100%
View this question

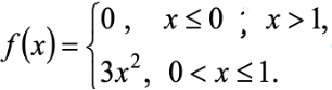
Випадкову величину задано функцією розподілу :

рис

Обчислити квантиль порядку 1/8.

0%
0%
0%
0%
View this question

Want instant access to all verified answers on do.ipo.kpi.ua?

Get Unlimited Answers To Exam Questions - Install Crowdly Extension Now!

Browser

Add to Chrome