logo

Crowdly

Browser

Add to Chrome

Теорія ймовірностей і математична статистика

Looking for Теорія ймовірностей і математична статистика test answers and solutions? Browse our comprehensive collection of verified answers for Теорія ймовірностей і математична статистика at do.ipo.kpi.ua.

Get instant access to accurate answers and detailed explanations for your course questions. Our community-driven platform helps students succeed!

Дискретна випадкова величина Х задана законом розподілу:

x

-3

-1

0

1

3

5

p

0,1

0,2

0,1

0,2

0,3

0,1

Випадкова величина Y=2X2-1

.

Знайти

M(Y).

0%
100%
0%
0%
View this question

Пристрій складається з 10

незалежно працюючих елементів. Ймовірність відмови кожного елемента за час Т

рівна 0,05. За допомогою нерівності Чебишева оцінити ймовірність того, що

абсолютна величина різниці між числом елементів, що відмовили, і середнім

числом (математичним сподіванням) відмов за час Т виявиться

не

менше

двох.

100%
0%
0%
0%
View this question

Нехай сумісний закон розподілу випадкових величин X1

та

X

2 має вигляд:

Обчислити кореляційний момент системи випадкових величин (X,Y)

0%
0%
100%
0%
View this question

Задано дискретну двовимірну випадкову величину:

q

Встановити, чи залежні компоненти Х та Y.

0%
100%
0%
0%
View this question

Нехай X і Y — незалежні випадкові величини з нормальним розподілом N not stretchy left parenthesis 0 comma 1 not stretchy right parenthesis. Знайдіть функцію розподілу для випадкової величини Z equals X squared plus Y squared.

0%
0%
0%
0%
View this question

Задана дискретна випадкова величина:

xi

1

2

3

4

5

pi

0,4

0,1

0,3

0,1

0,1

Обчислити

початковий момент

3-го порядку.

0%
0%
100%
0%
View this question

Нехай сумісний закон розподілу випадкових величин X1

та

X

2 має вигляд:

Перевірити незалежність випадкових величин (X,Y)

0%
100%
View this question

Нехай X і Y — незалежні випадкові величини з рівномірним розподілом на відрізку not stretchy left square bracket 0 comma 1 not stretchy right square bracket. Знайдіть функцію розподілу для випадкової величини Z equals min invisible function application not stretchy left parenthesis X comma Y not stretchy right parenthesis.

100%
0%
0%
0%
View this question

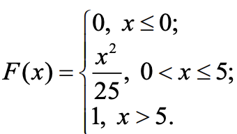
Знайти математичне сподівання випадкової величини X, яка

задана функцією розподілу

фф

0%
0%
100%
0%
View this question

а

100%
0%
View this question

Want instant access to all verified answers on do.ipo.kpi.ua?

Get Unlimited Answers To Exam Questions - Install Crowdly Extension Now!

Browser

Add to Chrome