logo

Crowdly

Browser

Add to Chrome

Вища математика

Looking for Вища математика test answers and solutions? Browse our comprehensive collection of verified answers for Вища математика at do.ipo.kpi.ua.

Get instant access to accurate answers and detailed explanations for your course questions. Our community-driven platform helps students succeed!

Диференціальне рівняння виду

п3

називається

0%
100%
0%
0%
View this question

Диференціальне рівняння першого порядку 

п2

називається однорідним якщо

0%
0%
0%
100%
View this question

Рівняння виду

п4

тобто рівняння, яке не містить явно незалежної змінної х, розв'язується за допомогою підстановки:

0%
0%
100%
0%
View this question

Диференціальне рівняння виду

п3

називається

0%
100%
0%
0%
View this question

Диференціальне рівняння першого порядку 

п2

називається однорідним якщо

0%
0%
0%
100%
View this question

Рівняння виду

п4

тобто рівняння, яке не містить явно незалежної змінної х, розв'язується за допомогою підстановки:

0%
0%
100%
0%
View this question

Диференціальне рівняння виду

п3

називається

0%
100%
0%
0%
View this question

Диференціальне рівняння першого порядку 

п2

називається однорідним якщо

0%
0%
0%
0%
View this question

Формула

криволінійний інтеграл 2-го роду дорівнює поверхневому інтегралу 2-го роду

де S - задана поверхня, а Γ - контур, який її обмежує, має назву ...

0%
0%
0%
0%
0%
View this question

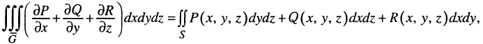
Формула

потрійний інтеграл дорівнює подвійному інтегралу 2-го роду

де S - поверхня, яка обмежує задану замкнену область G простору, має назву ...

0%
100%
0%
0%
0%
View this question

Want instant access to all verified answers on do.ipo.kpi.ua?

Get Unlimited Answers To Exam Questions - Install Crowdly Extension Now!

Browser

Add to Chrome