logo

Crowdly

Browser

Add to Chrome

Вища математика

Looking for Вища математика test answers and solutions? Browse our comprehensive collection of verified answers for Вища математика at do.ipo.kpi.ua.

Get instant access to accurate answers and detailed explanations for your course questions. Our community-driven platform helps students succeed!

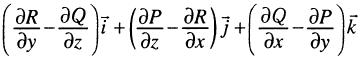
Вектор 

вектор векторного добутку з частинних похідних

визначає

0%
0%
0%
0%
100%
View this question

Want instant access to all verified answers on do.ipo.kpi.ua?

Get Unlimited Answers To Exam Questions - Install Crowdly Extension Now!

Browser

Add to Chrome