logo

Crowdly

Browser

Add to Chrome

Вища математика

Looking for Вища математика test answers and solutions? Browse our comprehensive collection of verified answers for Вища математика at do.ipo.kpi.ua.

Get instant access to accurate answers and detailed explanations for your course questions. Our community-driven platform helps students succeed!

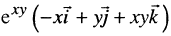
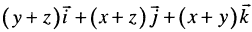
Яке із заданих векторних полів є соленоїдальним (соленоїдним)?

50%
50%
0%
0%
50%
View this question

Формула

криволінійний інтеграл 2-го роду дорівнює поверхневому інтегралу 2-го роду

де S - задана поверхня, а Γ - контур, який її обмежує, має назву ...

0%
0%
0%
100%
0%
View this question

Формула

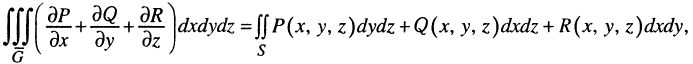
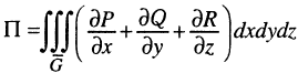
потрійний інтеграл дорівнює подвійному інтегралу 2-го роду

де S - поверхня, яка обмежує задану замкнену область G простору, має назву ...

0%
100%
0%
0%
0%
View this question

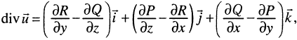
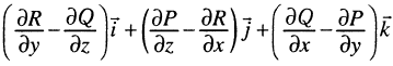
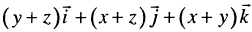
Вектор 

вектор векторного добутку з частинних похідних

визначає

0%
0%
0%
0%
0%
View this question

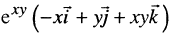
Яке із заданих векторних полів є потенціальним?

0%
25%
25%
0%
25%
View this question

Формула

потрійний інтеграл дорівнює подвійному інтегралу 2-го роду

де S - поверхня, яка обмежує задану замкнену область G простору, має назву ...

0%
0%
0%
0%
0%
View this question

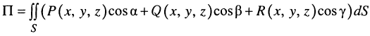
Формула

криволінійний інтеграл 2-го роду дорівнює поверхневому інтегралу 2-го роду

де S - задана поверхня, а Γ - контур, який її обмежує, має назву ...

0%
0%
0%
100%
0%
View this question

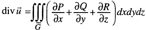
Дивергенція векторного поля u(x, y, z)=( P(x,y,z), Q(x,y,z), R(x,y,z) ) в кожній точці дорівнює:

0%
0%
29%
0%
0%
View this question

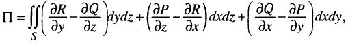
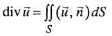
Потік векторного поля u(x, y, z)=( P(x,y,z), Q(x,y,z), R(x,y,z) ) через задану поверхню S обчислюється за формулою:

0%
0%
0%
0%
0%
View this question

Вектор найшвидшої зміни значень функції u(x, y, z) від точки M з області її визначення співпадає з

100%
0%
0%
0%
0%
View this question

Want instant access to all verified answers on do.ipo.kpi.ua?

Get Unlimited Answers To Exam Questions - Install Crowdly Extension Now!

Browser

Add to Chrome