logo

Crowdly

Browser

Add to Chrome

Технологія і аналіз якості косметичних засобів і харчових добавок

Looking for Технологія і аналіз якості косметичних засобів і харчових добавок test answers and solutions? Browse our comprehensive collection of verified answers for Технологія і аналіз якості косметичних засобів і харчових добавок at do.ipo.kpi.ua.

Get instant access to accurate answers and detailed explanations for your course questions. Our community-driven platform helps students succeed!

Оберіть властивості, що характеризують наступну сполуку 

0%
0%
100%
0%
100%
View this question
Оберіть властивості нізину в якості консервуючої речовини серед запропонованих

100%
100%
0%
100%
0%
View this question

Харчову добавку амфотерного емульгатору Е1001 ацетат

холіну синтезують

100%
0%
0%
0%
View this question

Харчову добавку іоногенного емульгатору

лауроїлсульфонат натрію Е487 одержують реакцією

0%
0%
100%
0%
View this question

Сахарозу можуть використовувати в якості консерванта для певних видів харчових продуктів 

0%
0%
View this question

Яку загальну назву мають препарати, що повністю знищують плісняві грибки?

0%
0%
0%
0%
0%
View this question

Серед наведеного списку оберіть лабораторні методи визначення антиоксидантної активності сполук

0%
0%
0%
0%
0%
0%
0%
View this question

Яка з наведених речовин може виконувати роль антиоксиданта-комплексоуворювача

0%
0%
0%
0%
0%
View this question

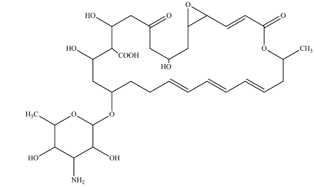
На рисунку зображена структурна формула 

0%
0%
0%
100%
View this question

Синтез

харчової добавки піноутворювача Е1201 полівінілпіролідону полягає у реакції

0%
0%
0%
0%
View this question

Want instant access to all verified answers on do.ipo.kpi.ua?

Get Unlimited Answers To Exam Questions - Install Crowdly Extension Now!

Browser

Add to Chrome