logo

Crowdly

Browser

Add to Chrome

Fonaments dels Computadors [MO74425]

Looking for Fonaments dels Computadors [MO74425] test answers and solutions? Browse our comprehensive collection of verified answers for Fonaments dels Computadors [MO74425] at e-aules.uab.cat.

Get instant access to accurate answers and detailed explanations for your course questions. Our community-driven platform helps students succeed!

El grafo de la figura describe el comportamiento de …

0%
0%
View this question
Una señal de reloj de frecuencia igual a 100 picosegundos tiene un periodo de:
View this question

¿Cuál o cuáles de las siguientes afirmaciones son ciertas?

0%
0%
0%
View this question

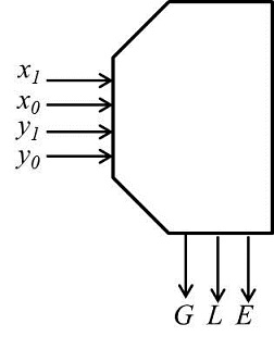
Se desea utilizar una memoria ROM para implementar un circuito digital al que entran dos números Y de 2 bits (X=x1x0 , Y=y1y0 ) y detecta si X es mayor (G=1), menor (L=1) o igual (E=1) que Y. ¿Qué información deben guardar las palabras de memoria de dirección 0100 y 1010?

Nota: el bit más significativo del bus de direcciones es x1.

0%
0%
100%
0%
View this question

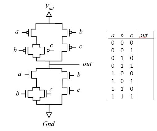
Completa la tabla de

comportamiento del siguiente circuito:

Entra como resultado

los 0s y 1s de la columna

out, separados por comas.

Por ejemplo, si el resultado fuese el que se

muestra a continuación, la respuesta debería ser

0,0,1,1,0,0,1,0

View this question

Marca

la o las afirmaciones, relativas al circuito de la figura, que son verdaderas

0%
0%
View this question

Completa la tabla de tal forma que describa el funcionamiento del siguiente circuito:

(Entra los 0s y 1s separados por un blanco. Por ejemplo, si el resultado fuese el que se muestra a continuación, la respuesta debería ser 0 0 1 1 0 0 1 0)

View this question

Marca la o las afirmaciones correctas:

0%
0%
0%
0%
View this question

Consideremos un sistema de calefacción por aire caliente. El subsistema de control:

- Recibe información de tres sensores de temperatura (t1, t2 y t3), y de un selector de temperaturas que fija la temperatura deseada (Tref), y

- genera dos señales: onoff ∈ {ON, OFF}, que enciende o apaga el calefactor, y flow ∈ {OFF, LOW, HIGH}, que controla el flujo de salida del aire caliente.

El subsistema de control funciona de la siguiente manera: Cada minuto ...

1. Calcula una temperatura media, Tav, como Tav = 0,2 x (t1+t2) + 0,6 x t3 ;

2. Si Tav ≥ Tref , entonces onoff = OFF; flow = OFF;

3. Si Tref - 1 ≤ Tav < Tref , entonces onoff = ON, flow = LOW;

4. Si Tav < Tref -1 , entonces onoff = ON, flow = HIGH.

¿Cuál de los siguientes algoritmos describe correctamente el funcionamiento de este subsistema de control?:

0%
0%
View this question

Dados dos números e , el producto puede expresarse como .

¿Cuál de los siguientes algoritmos calcula ?

0%
0%
0%
View this question

Want instant access to all verified answers on e-aules.uab.cat?

Get Unlimited Answers To Exam Questions - Install Crowdly Extension Now!

Browser

Add to Chrome