logo

Crowdly

Browser

Add to Chrome

Fonaments dels Computadors [MO74425]

Looking for Fonaments dels Computadors [MO74425] test answers and solutions? Browse our comprehensive collection of verified answers for Fonaments dels Computadors [MO74425] at e-aules.uab.cat.

Get instant access to accurate answers and detailed explanations for your course questions. Our community-driven platform helps students succeed!

Los ejercicios 6 a 8 están relacionados entre sí y tienen como  objetivo ilustrar como el álgebra de Boole nos permite obtener circuitos combinacionales más simples.

Indica cuál de las siguientes expresiones booleanas implementa el circuito de la figura:

View this question

Nota: Tendrás que utilizar VerilUOC_Desktop para responder a estos ejercicios. Mira, si no lo has hecho todavía, los vídeos 1 y 2 de VerilUOC_Desktop antes de realizar estos ejercicios.

Escribe la expresión booleana que implementa el circuito siguiente (no es necesario simplificar la función):

INSTRUCCIONES PARA RESPONDER A ESTA CUESTIÓN:

1. En la máquina virtual abre VerilUOC_Desktop, haz clic en el menú "Simular"->"Verificación" y a continuación haz clic en BoolMin.

2. En "Módulo" selecciona "Ejercicios evaluables" y haz clic en el ejercicio 2.5.c. Introduce la expresión booleana en forma de suma de productos de literales.

3. BoolMin te devolverá un código de 4 letras mayúsculas que debes introducir en la caja de respuesta.

View this question

Nota: Tendrás que utilizar VerilUOC_Desktop para responder a estos ejercicios. Mira, si no lo has hecho todavía, los vídeos 1 y 2 de VerilUOC_Desktop antes de realizar estos ejercicios.

Dibujar un circuito digital que implemente la función booleana siguiente (implementa el circuito tal cual, sin minimizar la función booleana):

Atención: las entradas deben tener los nombres a, b, c, d, y la salida debe tener el nombre f; todas en minúsculas.

INSTRUCCIONES PARA RESPONDER A ESTA CUESTIÓN:

1. En la máquina virtual abre VerilUOC_Desktop y dibuja el circuito.

2. Haz clic en "Simular"->"Verificación" y a continuación haz clic en la pestaña VerilCirc.

3. En "Módulo" selecciona "Ejercicios evaluables" y haz clic en el ejercicio 2.4.a.

4. VerilCirc te devolverá un código de 4 letras mayúsculas que debes introducir en la caja de respuesta.

View this question
Indica las afirmaciones que son ciertas.
0%
0%
0%
0%
View this question

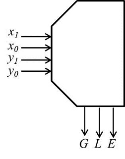
Se desea utilizar una memoria ROM para implementar un circuito digital al que entran dos números X  e Y de 2 bits (X=x1x0 , Y=y1y0 ) y detecta si X es mayor (G=1), menor (L=1) o igual (E=1) que Y. ¿Qué información deben guardar las palabras de memoria de dirección 0101 y 0010?

Nota: el bit más significativo del bus de direcciones es x1.

View this question

Marca cuál o cuáles de las siguientes afirmaciones son correctas:

View this question

Marca cuál de las siguientes expresiones representan el minterm 5 de una función booleana

(nota: ten cuidado con el orden en el que están definidas las variables de la función)

View this question

Want instant access to all verified answers on e-aules.uab.cat?

Get Unlimited Answers To Exam Questions - Install Crowdly Extension Now!

Browser

Add to Chrome