logo

Crowdly

Browser

Add to Chrome

TI301 - Structures des Données et Programmation 2

Looking for TI301 - Structures des Données et Programmation 2 test answers and solutions? Browse our comprehensive collection of verified answers for TI301 - Structures des Données et Programmation 2 at efreussite.fr.

Get instant access to accurate answers and detailed explanations for your course questions. Our community-driven platform helps students succeed!

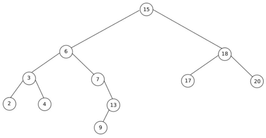
On repart de la configuration originale de l'arbre :

On choisit d'effectuer une rotation droite sur la racine, stockant la valeur 15. A la suite de cette opération, quelle affirmation est vraie ?

View this question

Soit l'arbre suivant :

Le noeud E est-il toujours traité/visité avant le noeud D, lors les parcours préfixe, infixe et postfixe ?

View this question

On repart de la configuration originale de l'arbre :

On choisit d'effectuer une rotation droite sur la racine, stockant la valeur 15. A la suite de cette opération, quelle affirmation est vraie ?

View this question

Soit l'arbre suivant :

Le noeud E est-il toujours traité/visité avant le noeud D, lors les parcours préfixe, infixe et postfixe ?

View this question

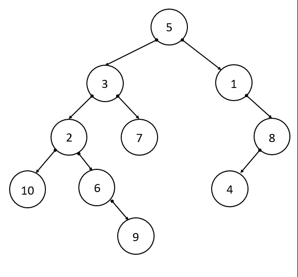
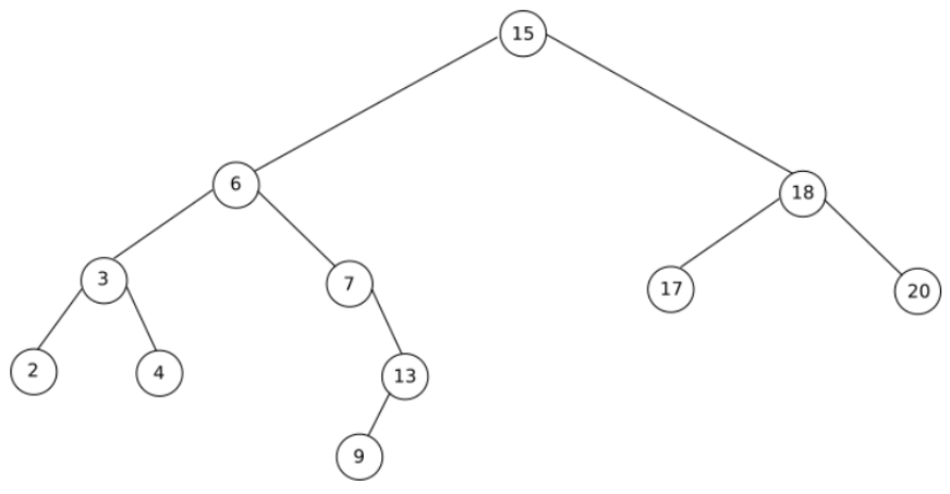
Donnez le résultat du parcours infixe de l'arbre suivant

Vous indiquerez les valeurs affichées, séparées par la caractère espace ' ' ou virgule

Arbre

View this question

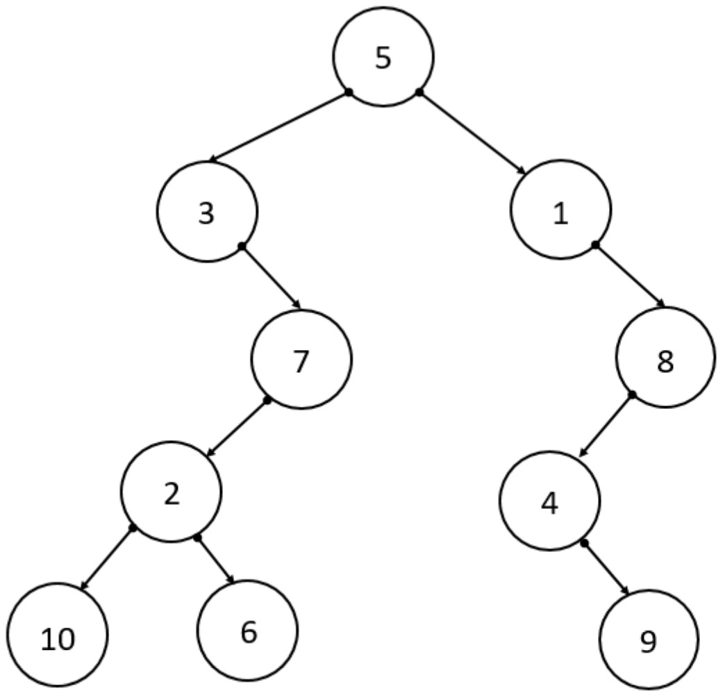
Donnez le résultat du parcours postfixe de l'arbre suivant

Vous indiquerez les valeurs affichées, séparées par la caractère espace ' ' ou virgule

Arbre

View this question

Donnez le résultat du parcours préfixe de l'arbre suivant

Vous indiquerez les valeurs affichées, séparées par la caractère espace ' ' ou virgule

Arbre

View this question

Donnez le résultat du parcours postfixe de l'arbre suivant

Vous indiquerez les valeurs affichées, séparées par la caractère espace ' ' ou virgule

Arbre

View this question

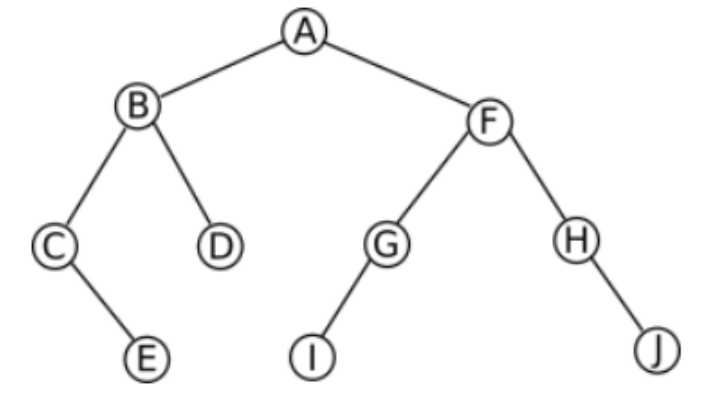
Donnez le résultat du parcours préfixe de l'arbre suivant

Vous indiquerez les valeurs affichées, séparées par la caractère espace ' ' ou virgule

Arbre

View this question

Donnez le résultat du parcours infixe de l'arbre suivant

Vous indiquerez les valeurs affichées, séparées par la caractère espace ' ' ou virgule

Arbre

View this question

Want instant access to all verified answers on efreussite.fr?

Get Unlimited Answers To Exam Questions - Install Crowdly Extension Now!

Browser

Add to Chrome