logo

Crowdly

Browser

Add to Chrome

TI301 - Structures des Données et Programmation 2

Looking for TI301 - Structures des Données et Programmation 2 test answers and solutions? Browse our comprehensive collection of verified answers for TI301 - Structures des Données et Programmation 2 at efreussite.fr.

Get instant access to accurate answers and detailed explanations for your course questions. Our community-driven platform helps students succeed!

Quel est l'ordre dans lequel sont listés les sommets de l'arbre suivant en parcours infixe ?

Arbre

View this question

Quel est l'ordre dans lequel sont listés les sommets de l'arbre suivant en parcours postfixe ?

Arbre

View this question

Quel est l'ordre dans lequel sont listés les sommets de l'arbre suivant en parcours préfixe ?

Arbre

0%
0%
0%
0%
View this question

Quel est l'ordre dans lequel sont listés les sommets de l'arbre suivant en parcours postfixe ?

Arbre

View this question

Quel est l'ordre dans lequel sont listés les sommets de l'arbre suivant en parcours infixe ?

Arbre

0%
0%
0%
0%
View this question

Quel est l'ordre dans lequel sont listés les sommets de l'arbre suivant en parcours préfixe ?

Arbre

0%
0%
0%
0%
View this question

VRAI ou FAUX

Il est possible d'implémenter une file avec un tableau, en utilisant le type suivant :

Code

0%
0%
View this question

On repart de la configuration originale de l'arbre :

On choisit d'effectuer une rotation droite sur la racine, stockant la valeur 15. A la suite de cette opération, quelle affirmation est vraie ?

View this question

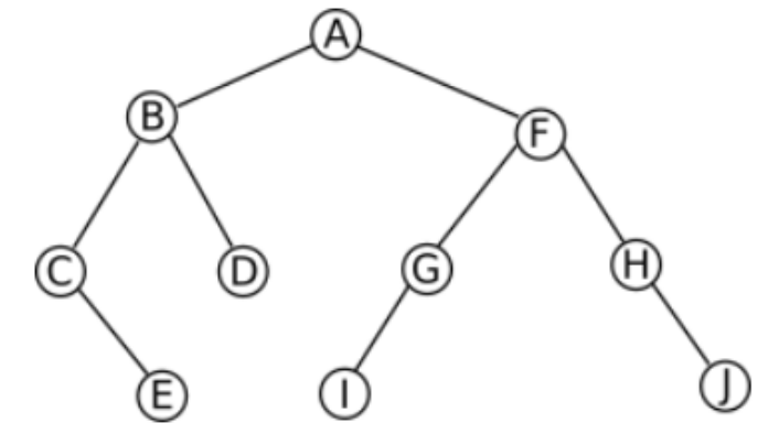
Soit l'arbre suivant :

Le noeud E est-il toujours traité/visité avant le noeud D, lors les parcours préfixe, infixe et postfixe ?

0%
0%
View this question

On vous donne la définition d'une fonction doSomething() qui est sensée parcourir toute la liste.

Que vaudra temp à la sortie de la boucle while de cette fonction ?

0%
0%
0%
0%
View this question

Want instant access to all verified answers on efreussite.fr?

Get Unlimited Answers To Exam Questions - Install Crowdly Extension Now!

Browser

Add to Chrome