logo

Crowdly

Browser

Add to Chrome

Металеві конструкції

Looking for Металеві конструкції test answers and solutions? Browse our comprehensive collection of verified answers for Металеві конструкції at exam.nuwm.edu.ua.

Get instant access to accurate answers and detailed explanations for your course questions. Our community-driven platform helps students succeed!

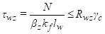
Розрахунковий опір кутового шва зрізу:

0%
0%
0%
0%
View this question

це:

View this question

Коефіцієнт розрахункової довжини:

View this question

Позацентрово стиснуті (стиснуто-зігнуті) колони:

View this question

– це коефіцієнт:

View this question

Стержень наскрізної колони складається:

0%
0%
0%
0%
0%
View this question

Визначити необхідну площу Аwкутового зварного шва. Розрахункове зусилля N =600kн. Розрахунковий опір кутового шва зрізу Rwf = 180 MПа, коефіцієнт умов роботи = 1:

View this question

– це коефіцієнт:

0%
0%
0%
0%
0%
View this question

– це коефіцієнт:

View this question

Необхідна товщина опорної плити бази колони:

View this question

Want instant access to all verified answers on exam.nuwm.edu.ua?

Get Unlimited Answers To Exam Questions - Install Crowdly Extension Now!

Browser

Add to Chrome