logo

Crowdly

Browser

Add to Chrome

Металеві конструкції

Looking for Металеві конструкції test answers and solutions? Browse our comprehensive collection of verified answers for Металеві конструкції at exam.nuwm.edu.ua.

Get instant access to accurate answers and detailed explanations for your course questions. Our community-driven platform helps students succeed!

Перевірка міцності зазведеними (максимальними сумарними) напруженнями виконується за формулою:

View this question

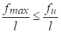
Умова розрахунку елементів, що згинаються, за граничними станами другої групи має вигляд:

0%
0%
0%
0%
0%
View this question

Площа перерізу кутового зварного шва за металом шва:

View this question

Якщо плита оголовка колони стругається, а торець вертикального ребра фрезерується, то товщина вертикального ребра визначається, виходячи з умови:

0%
0%
0%
0%
0%
View this question

Обчислити конструктивну довжину кутового зварного шва за наступними вихідними даними Зусилля у шві Зєднувані елементи зі сталі класу С345 Катет шва Зварювання ручне Розрахунок виконати за розрахунковим перерізом по металу шва Коефіцієнт умов роботи

View this question

Напруження у фундаменті під підошвою опорної плити бази колони (реактивний тиск фундаменту) рівний:

0%
0%
0%
0%
0%
View this question

Зварні шви за положенням в просторі при виконанні зварювання поділяють на:

0%
0%
0%
View this question

Основна вимога при проектуванні центрально стиснутих колон:

0%
0%
0%
0%
0%
View this question

Умова міцності кутового зварного шва:

View this question

– це коефіцієнт:

0%
0%
0%
0%
0%
View this question

Want instant access to all verified answers on exam.nuwm.edu.ua?

Get Unlimited Answers To Exam Questions - Install Crowdly Extension Now!

Browser

Add to Chrome