logo

Crowdly

Browser

Add to Chrome

Металеві конструкції

Looking for Металеві конструкції test answers and solutions? Browse our comprehensive collection of verified answers for Металеві конструкції at exam.nuwm.edu.ua.

Get instant access to accurate answers and detailed explanations for your course questions. Our community-driven platform helps students succeed!

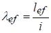
Для наскрізних колон з планками в двох площинах приведена гнучкість рівна:

View this question

Напруження у фундаменті під підошвоюопорної плити бази колони (реактивний тиск фундаменту) рівний:

View this question

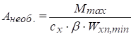
Необхідна площа перерізуцентрально стиснутих колон обчислюється, як:

0%
0%
0%
0%
0%
View this question

Розрахунок колон залежить від:

0%
0%
0%
0%
0%
View this question

Статичні моменти опору поперечного перерізу балки позначається:

View this question

Коефіцієнт Пуассона

View this question

Перерізи суцільних колон поділяються на:

0%
0%
0%
0%
0%
View this question

Всі кутові шви умовно розраховуються тільки на:

View this question

Центральна вісь, яка не перетинає тіло віток колони називається:

View this question

Фермою називають:

View this question

Want instant access to all verified answers on exam.nuwm.edu.ua?

Get Unlimited Answers To Exam Questions - Install Crowdly Extension Now!

Browser

Add to Chrome