logo

Crowdly

Browser

Add to Chrome

Математичний аналіз

Looking for Математичний аналіз test answers and solutions? Browse our comprehensive collection of verified answers for Математичний аналіз at exam.nuwm.edu.ua.

Get instant access to accurate answers and detailed explanations for your course questions. Our community-driven platform helps students succeed!

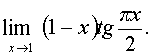
Знайти границю
View this question
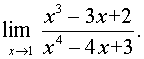
Знайти границю
View this question
Знайти границю
0%
0%
0%
0%
0%
0%
0%
0%
0%
View this question
Знайти границю
View this question
Знайти границю
0%
0%
0%
0%
0%
0%
0%
0%
0%
0%
0%
0%
View this question
Знайти область визначення функції .
View this question
Знайти границю
0%
0%
0%
0%
0%
0%
0%
0%
0%
0%
View this question
Знайти границю
0%
0%
0%
0%
0%
0%
0%
0%
0%
0%
0%
View this question
Знайти центр х0, інтервал, радіус R та область збіжності степеневого ряду . Співставити правильно.
View this question
Знайти центр х0, інтервал, радіус R та область збіжності степеневого ряду . Співставити правильно.
View this question

Want instant access to all verified answers on exam.nuwm.edu.ua?

Get Unlimited Answers To Exam Questions - Install Crowdly Extension Now!

Browser

Add to Chrome