logo

Crowdly

Browser

Add to Chrome

Математичний аналіз

Looking for Математичний аналіз test answers and solutions? Browse our comprehensive collection of verified answers for Математичний аналіз at exam.nuwm.edu.ua.

Get instant access to accurate answers and detailed explanations for your course questions. Our community-driven platform helps students succeed!

Дослідити ряд на збіжність за радикальною ознакою Коші Співставити правильно.
View this question
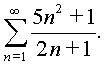
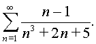
Дослідити ряди на збіжність за необхідною ознакою та за ознакою порівняння через асимптотичну рівність:
View this question
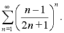
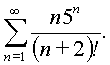
Дослідити ряди на збіжність за необхідною ознакою, та за ознакою з 2n:
View this question
Дослідити ряд на абсолютну та умовну збіжність за ознакою Даламбера: Співставити правильно.
View this question
Дослідити ряди на збіжність за необхідною ознакою, та за ознакою з 2n: (Підказка: (n+3) зразу замінити на n, бо можна почати сумувати з n=4 або вважайте, що замінили загальний член ряду на асимптотично рівний при n→∞.)
View this question
Дослідити ряд на збіжність за ознакою Даламбера. Співставити правильно.
View this question
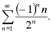
Дослідити ряд на збіжність за необхідною ознакою:
View this question
Дослідити ряди на збіжність за необхідною ознакою:
View this question
Дослідити ряд на збіжність за радикальною ознакою Коші Співставити правильно.
View this question
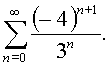
Дослідити ряд на збіжність та знайти його суму за означенням: Співставте правильно.
View this question

Want instant access to all verified answers on exam.nuwm.edu.ua?

Get Unlimited Answers To Exam Questions - Install Crowdly Extension Now!

Browser

Add to Chrome