logo

Crowdly

Browser

Add to Chrome

Математичний аналіз

Looking for Математичний аналіз test answers and solutions? Browse our comprehensive collection of verified answers for Математичний аналіз at exam.nuwm.edu.ua.

Get instant access to accurate answers and detailed explanations for your course questions. Our community-driven platform helps students succeed!

Знайти центр х0, інтервал, радіус R та область збіжності степеневого ряду . Співставити правильно.
View this question
Дослідити ряд на збіжність та знайти його суму за означенням: Співставте правильно.
View this question
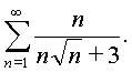
Дослідити ряди на збіжність за необхідною ознакою та за ознакою порівняння через асимптотичну рівність:
View this question
Дослідити ряд на збіжність за ознакою Даламбера Співставити правильно.
View this question
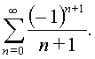
Дослідити ряд на абсолютну та умовну збіжність: Співставити правильно.
View this question

Знайти найменшу верхню межу послідовності

View this question

Знайти верхню границю послідовності .

View this question

Якщо , то послідовність є

0%
0%
0%
0%
View this question

Для яких рівність виконується при всіх дійсних b та c, при яких обидві частини рівності мають зміст?

0%
0%
0%
0%
0%
View this question

Якою є точна верхня межа множини , якщо ?

View this question

Want instant access to all verified answers on exam.nuwm.edu.ua?

Get Unlimited Answers To Exam Questions - Install Crowdly Extension Now!

Browser

Add to Chrome