logo

Crowdly

Browser

Add to Chrome

(ALT) Traitement du signal (MAEISI360124)

Looking for (ALT) Traitement du signal (MAEISI360124) test answers and solutions? Browse our comprehensive collection of verified answers for (ALT) Traitement du signal (MAEISI360124) at learning.devinci.fr.

Get instant access to accurate answers and detailed explanations for your course questions. Our community-driven platform helps students succeed!

L'expression mathématique :

 

vaut :

0%
0%
0%
0%
View this question

Soit le filtre numérique dont le diagramme des pôles-zéros est donné par :

On considère que le numérateur de sa fonction de transfert ne présente pas

de partie constante.

On considère que le numérateur de sa fonction de transfert ne présente pas

de partie constante.

Le filtre est stable.

.

0%
0%
View this question

Le signal x(t) est sous échantillonné à la fréquence 30 HZ car on ne souhaite garder que la fréquence à 20 Hz. Peut-on reconstituer le signal ? La réponse à cette question sera seulement oui ou non.

View this question

Soit le filtre numérique dont le diagramme des pôles-zéros est donné par :

On considère que le numérateur de sa fonction de transfert ne présente pas

de partie constante.

View this question

on considère le filtre donné par l'équation aux différences suivante:

On peut affirmer que ce filtre de type

0%
100%
0%
0%
0%
0%
View this question

Donnez l'expression mathématique de ce signal dans le domaine fréquentiel

 pour

T=1s.

View this question

On injecte en entrée du circuit suivant :

un signal e(t):

Sur le spectre du signal de sortie :

100%
0%
0%
0%
View this question

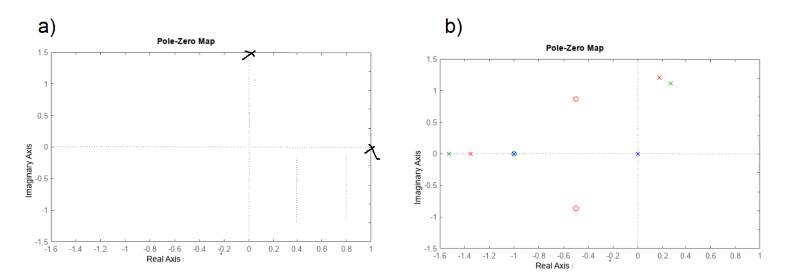
Soient les diagrammes suivants chacun relatif à un filtre numérique  :

On peut dire que  :

0%
0%
0%
100%
View this question

On peut affirmer que ce signal est périodique

100%
0%
View this question

Donnez la transformée en Z du signal suivant :

0%
0%
0%
0%
0%
View this question

Want instant access to all verified answers on learning.devinci.fr?

Get Unlimited Answers To Exam Questions - Install Crowdly Extension Now!

Browser

Add to Chrome