logo

Crowdly

Browser

Add to Chrome

(ALT) Traitement du signal (MAEISI360124)

Looking for (ALT) Traitement du signal (MAEISI360124) test answers and solutions? Browse our comprehensive collection of verified answers for (ALT) Traitement du signal (MAEISI360124) at learning.devinci.fr.

Get instant access to accurate answers and detailed explanations for your course questions. Our community-driven platform helps students succeed!

Soit le filtre numérique dont le diagramme des pôles-zéros est donné par :

On considère que le numérateur de sa fonction de transfert ne présente pas

de partie constante.

On considère que le numérateur de sa fonction de transfert ne présente pas

de partie constante.

Le filtre est stable.

.

0%
0%
View this question

On peut affirmer que ce filtre:

est un filtre RII.

0%
0%
View this question

Un filtre dont la fonction de transfert est :

0%
0%
100%
0%
View this question

on considère le filtre donné par l'équation aux différences suivante:

On peut affirmer que ce filtre de type

0%
0%
0%
100%
0%
0%
View this question

Le signal suivant est échantillonné à la fréquence 55HZ, quelle est la

fréquence  de la première raie indésirable

? Pour la réponse, il suffit de mettre le nombre sans rien ajouter d'autre.

View this question

Ce signal x(t) :

Capture4.PNG
0%
0%
0%
0%
View this question

On peut dire du filtre numérique caractérisé par l’équation de récurrence :

0%
0%
0%
View this question

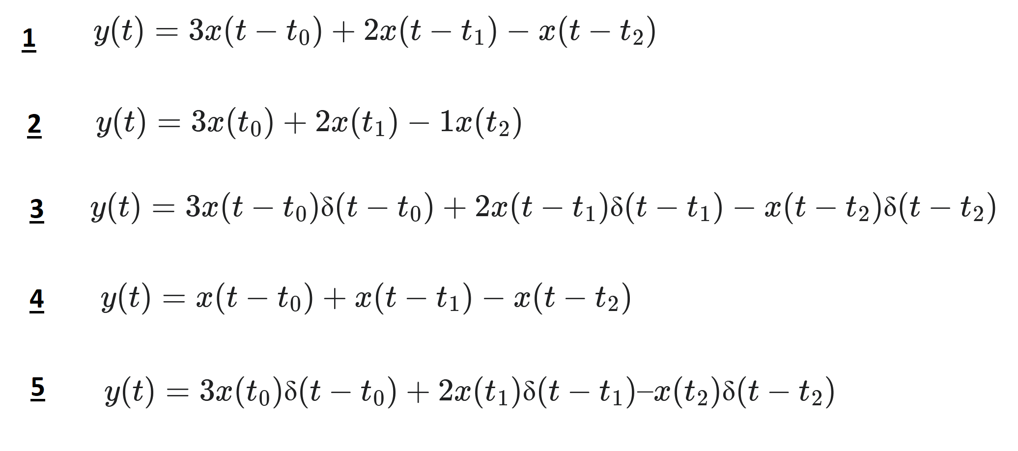
Un signal x(t) est filtré par un filtre de réponse

impulsionnelle h(t) :

h(t)=3δ(t-t0) + 2δ(tt1 ) δ(tt2)

Choisir parmi ces réponses la réponse du filtre :

0%
0%
0%
0%
0%
0%
View this question

On peut affirmer que ce filtre:

est un filtre RII.

100%
0%
View this question

Soit le filtre numérique défini par l'équation :

La fonction de transfert de ce filtre vaut :

0%
0%
0%
0%
View this question

Want instant access to all verified answers on learning.devinci.fr?

Get Unlimited Answers To Exam Questions - Install Crowdly Extension Now!

Browser

Add to Chrome