logo

Crowdly

Browser

Add to Chrome

(ALT) Traitement du signal (MAEISI360124)

Looking for (ALT) Traitement du signal (MAEISI360124) test answers and solutions? Browse our comprehensive collection of verified answers for (ALT) Traitement du signal (MAEISI360124) at learning.devinci.fr.

Get instant access to accurate answers and detailed explanations for your course questions. Our community-driven platform helps students succeed!

Le signal suivant est échantillonné à la fréquence 55HZ, quelle est la

fréquence  de la première raie indésirable

? Pour la réponse, il suffit de mettre le nombre sans rien ajouter d'autre.

View this question

Soit le signal  :

La transformée en Z de x(n-1) est: 

0%
0%
100%
0%
View this question

Soit le filtre numérique défini par l'équation :

La fonction de transfert de ce filtre vaut :

0%
0%
0%
0%
View this question

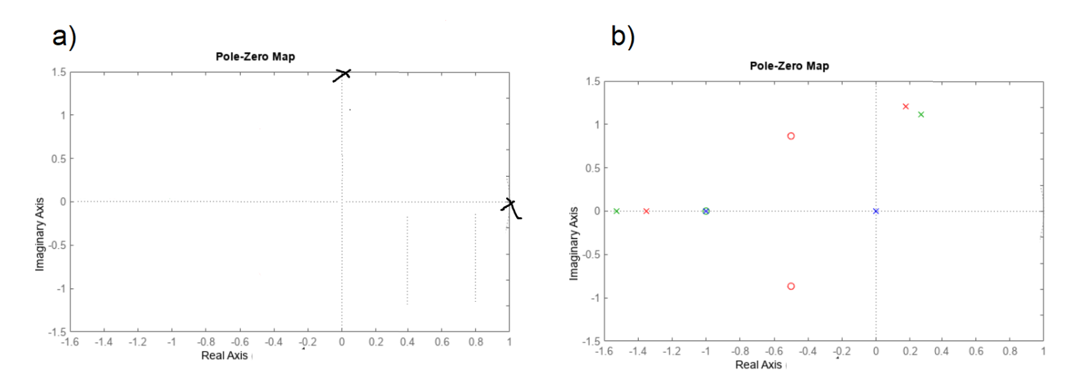
Soient les diagrammes suivants chacun relatif à un filtre numérique  :

On peut dire que  :

0%
100%
0%
0%
View this question

Donnez les transformées en z des deux signaux échantillonnés suivants :

0%
0%
0%
0%
View this question

Un signal analogique x(t) dont le spectre est représenté ci-dessous est

échantillonné avec 3 fréquences fe différentes :  7,5 KHz        10 KHz 

  et  15 KHz

0%
0%
0%
View this question

L'expression mathématique :

 

vaut :

0%
0%
0%
100%
View this question

Cela représente un filtre récursif 

0%
0%
View this question

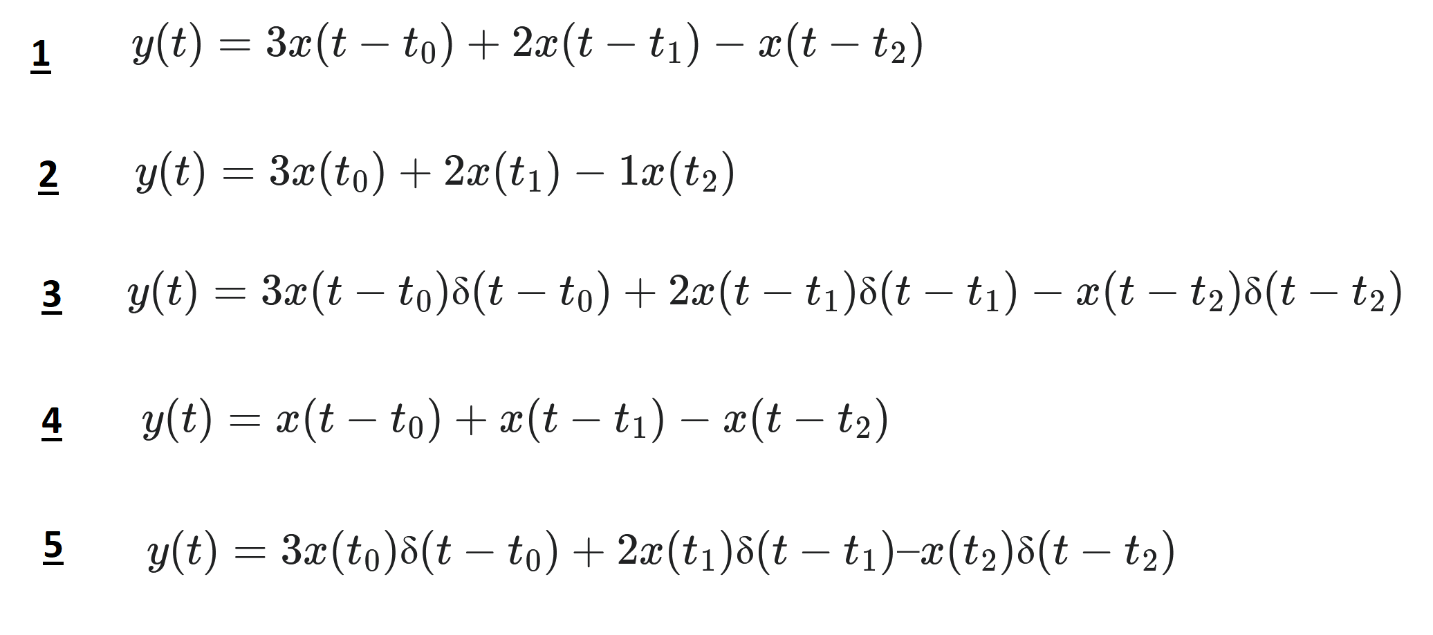
Un signal x(t) est filtré par un filtre de réponse

impulsionnelle h(t) :

h(t)=3δ(t-t0) + 2δ(tt1 ) δ(tt2)

Choisir parmi ces réponses la réponse du filtre :

0%
0%
0%
0%
0%
0%
View this question

Un signal x(t) est filtré par un filtre de réponse

impulsionnelle h(t).

On peut affirmer que:

100%
0%
100%
0%
View this question

Want instant access to all verified answers on learning.devinci.fr?

Get Unlimited Answers To Exam Questions - Install Crowdly Extension Now!

Browser

Add to Chrome