logo

Crowdly

Browser

Add to Chrome

Statistiques (MESIMA360224)

Looking for Statistiques (MESIMA360224) test answers and solutions? Browse our comprehensive collection of verified answers for Statistiques (MESIMA360224) at learning.devinci.fr.

Get instant access to accurate answers and detailed explanations for your course questions. Our community-driven platform helps students succeed!

Question 1/7 :

View this question

Question 3/7 : 

View this question

ainsi que des tableaux suivants : 

View this question

Question 2/7 :

(écrire juste la valeur numérique, pas le symbole %)

View this question

Question 1/7 :

View this question

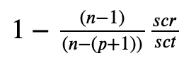
Donner la valeur arrondie à 0.001 près

Vous pourrez vous aider des tableaux suivants : 

View this question

Vous écrirez votre réponse sous la forme [*;*]  

où chaque * sera remplacé par le nombre réel adéquat, arrondi à 0.1 près.

Vous pourrez vous aider des tableaux suivants : 

View this question

On se place dans le cadre déterministe suivant.

Sauf indication contraire, le coefficient de détermination dont il est question dans les propositions ci-dessous est celui de la RLM de y par x1 et x2

0%
0%
0%
0%
0%
0%
0%
0%
View this question

On se place dans le cadre déterministe suivant.

Associer les quantités ci-dessous à leur formule. 

View this question

Ceci au niveau 95% . 

Vous écrirez votre réponse sous la forme [*;*]  

où chaque * sera remplacé par le nombre réel adéquat, arrondi à 0.01 près.

Vous pourrez vous aider des tableaux suivants : 

View this question

Want instant access to all verified answers on learning.devinci.fr?

Get Unlimited Answers To Exam Questions - Install Crowdly Extension Now!

Browser

Add to Chrome