logo

Crowdly

Browser

Add to Chrome

Statistiques (MESIMA360224)

Looking for Statistiques (MESIMA360224) test answers and solutions? Browse our comprehensive collection of verified answers for Statistiques (MESIMA360224) at learning.devinci.fr.

Get instant access to accurate answers and detailed explanations for your course questions. Our community-driven platform helps students succeed!

Le goût d’un fromage dépend de la concentration de plusieurs composés chimiques, dont :

◦ la concentration d’acide acétique (variable x1),

◦ la concentration d’hydrogène sulfuré (variable x2), 

◦ la concentration d’acide lactique (variable x3).

Pour 30 types de fromage, on dispose de la note attribuée par un comité de goûteurs (variable  y).

statsmodels.api.OLS permet d'obtenir les résultats suivants : 

et l'on calcule également : 

Donner la ou les numéros de variables sélectionnés par procédure pas à pas ascendante (utiliser un espace comme séparateur).

View this question

Le goût d’un fromage dépend de la concentration de plusieurs composés chimiques, dont :

◦ la concentration d’acide acétique (variable x1),

◦ la concentration d’hydrogène sulfuré (variable x2), 

◦ la concentration d’acide lactique (variable x3).

Pour 30 types de fromage, on dispose de la note attribuée par un comité de goûteurs (variable  y).

statsmodels.api.OLS permet d'obtenir les résultats suivants : 

Que vaut la p-valeur du test de significativité du modèle ? (arrondir à 0.001 près) 

View this question

Un chercheur souhaite déterminer si un nouveau programme d'entraînement diminue significativement le temps de réaction des participants à une épreuve de rapidité. Il mesure le temps de réaction (en millisecondes) de 5 participants avant et après le programme d'entraînement. Les données sont les suivantes :

avant l'entraînement : [250, 270, 240, 260, 280]

après l'entraînement : [245, 280, 220, 275, 240]

Combien vaut la p-valeur du test de Wilcoxon des rangs signés ? 

Vous pouvez vous aider du tableau suivant : 

View this question

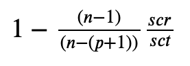
On se place dans le cadre déterministe suivant.

Associer les quantités ci-dessous à leur formule. 

View this question

Vous écrirez votre réponse sous la forme [*;*]  

où chaque * sera remplacé par le nombre réel adéquat, arrondi à 0.1 près.

Vous pourrez vous aider des tableaux suivants : 

View this question

Donner la valeur arrondie à 0.001 près

Vous pourrez vous aider des tableaux suivants : 

View this question

Ceci au niveau 95% . 

Vous écrirez votre réponse sous la forme [*;*]  

où chaque * sera remplacé par le nombre réel adéquat, arrondi à 0.01 près.

Vous pourrez vous aider des tableaux suivants : 

View this question

Question 4/7 :

View this question

Question 3/7 : 

View this question

Question 2/7 :

(écrire juste la valeur numérique, pas le symbole %)

View this question

Want instant access to all verified answers on learning.devinci.fr?

Get Unlimited Answers To Exam Questions - Install Crowdly Extension Now!

Browser

Add to Chrome