Looking for Matematika test answers and solutions? Browse our comprehensive collection of verified answers for Matematika at lms.smktarunabhakti.sch.id.
Get instant access to accurate answers and detailed explanations for your course questions. Our community-driven platform helps students succeed!
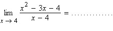
| Kolom ASoal | Kolom BJawaban |
| 1. | a. |
| 2. | b. |
| 3. | c. |
| 4. | d. |
| 5. | e. |
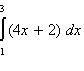
| Kolom ASoal | Kolom BJawaban |
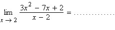
| 1. | a. -55 |
| 2. | b. 33 |
| 3. | c. 53 |
| 4. | d. -19 |
| 5. | e. -30 |
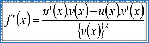
| Kolom ASoal | Kolom BJawaban |
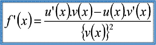
| 1. | a. -22 |
| 2. | b. 48 |
| 3. | c. 17 |
| 4. | d. 37 |
| 5. | e. -27 |