logo

Crowdly

Browser

Add to Chrome

Matematika

Looking for Matematika test answers and solutions? Browse our comprehensive collection of verified answers for Matematika at lms.smktarunabhakti.sch.id.

Get instant access to accurate answers and detailed explanations for your course questions. Our community-driven platform helps students succeed!

Limit Fungsi Aljabar

mc009-1.jpg

Limit adalah konsep dasar dalam matematika yang digunakan untuk memahami bagaimana sebuah fungsi mendekati nilai tertentu saat variabelnya mendekati suatu titik. Dalam dunia nyata, limit membantu kita melihat perilaku fungsi meskipun nilai pada titik tersebut mungkin tidak terdefinisi secara langsung. Misalnya, ketika kita ingin mengetahui nilai fungsi saat mendekati angka tertentu, limit menjadi alat yang sangat berguna.

Pada dasarnya, limit membahas nilai yang "didekati" oleh fungsi f(x) ketika x mendekati suatu angka a. Misalnya, jika kita tulis limmc009-2.jpg f(x)=L, artinya nilai fungsi f(x) mendekati L saat x mendekati a. Tidak selalu fungsi harus mencapai L pada x=a, tapi nilai fungsi tersebut harus semakin dekat dengan L ketika x semakin dekat dengan a.

Penggunaan limit sangat penting dalam berbagai bidang teknik dan teknologi, terutama untuk memodelkan perubahan yang terjadi secara terus-menerus, seperti kecepatan, suhu, dan tekanan. Dengan memahami limit, kita bisa membuat prediksi dan analisis yang lebih tepat terhadap fenomena tersebut, yang tentu sangat membantu dalam bidang teknik dan produksi.

Selain itu, limit menjadi dasar dari konsep turunan dan integral dalam kalkulus yang sering digunakan di bidang teknik. Pemahaman yang kuat tentang limit akan membantu siswa SMK dalam memahami materi yang lebih kompleks dan aplikasi praktis di dunia kerja nantinya. Oleh karena itu, memahami limit bukan hanya sekedar teori, tapi juga bekal penting dalam dunia teknik.

Hasil dari :

mc009-3.jpg

0%
0%
0%
0%
0%
View this question
Limit Fungsi Aljabar

mc007-1.jpg

Limit adalah konsep dasar dalam matematika yang digunakan untuk memahami bagaimana sebuah fungsi mendekati nilai tertentu saat variabelnya mendekati suatu titik. Dalam dunia nyata, limit membantu kita melihat perilaku fungsi meskipun nilai pada titik tersebut mungkin tidak terdefinisi secara langsung. Misalnya, ketika kita ingin mengetahui nilai fungsi saat mendekati angka tertentu, limit menjadi alat yang sangat berguna.

Pada dasarnya, limit membahas nilai yang "didekati" oleh fungsi f(x) ketika x mendekati suatu angka a. Misalnya, jika kita tulis limmc007-2.jpg f(x)=L, artinya nilai fungsi f(x) mendekati L saat x mendekati a. Tidak selalu fungsi harus mencapai L pada x=a, tapi nilai fungsi tersebut harus semakin dekat dengan L ketika x semakin dekat dengan a.

Penggunaan limit sangat penting dalam berbagai bidang teknik dan teknologi, terutama untuk memodelkan perubahan yang terjadi secara terus-menerus, seperti kecepatan, suhu, dan tekanan. Dengan memahami limit, kita bisa membuat prediksi dan analisis yang lebih tepat terhadap fenomena tersebut, yang tentu sangat membantu dalam bidang teknik dan produksi.

Selain itu, limit menjadi dasar dari konsep turunan dan integral dalam kalkulus yang sering digunakan di bidang teknik. Pemahaman yang kuat tentang limit akan membantu siswa SMK dalam memahami materi yang lebih kompleks dan aplikasi praktis di dunia kerja nantinya. Oleh karena itu, memahami limit bukan hanya sekedar teori, tapi juga bekal penting dalam dunia teknik.

Hasil dari :

mc007-3.jpg

0%
0%
100%
0%
0%
View this question
Turunan Fungsi Aljabar

mr014-1.jpg

Turunan adalah konsep penting dalam kalkulus yang digunakan untuk mengetahui seberapa cepat suatu nilai berubah terhadap variabel tertentu. Dalam konteks matematika, turunan menggambarkan laju perubahan suatu fungsi. Ketika suatu fungsi menunjukkan hubungan antara dua besaran, turunan memberi informasi mengenai perubahan salah satu besaran ketika besaran lainnya berubah sedikit demi sedikit.

Pada fungsi aljabar, turunan dapat digunakan untuk mengetahui arah dan bentuk grafik fungsi tersebut. Dengan menghitung turunan suatu fungsi, kita bisa mengetahui apakah fungsi tersebut sedang naik, turun, atau mencapai nilai ekstrem (maksimum atau minimum). Hal ini sangat berguna, terutama dalam analisis grafik, optimasi, dan pemodelan matematika di berbagai bidang.

Proses mencari turunan dari fungsi aljabar melibatkan aturan-aturan tertentu yang bersifat umum. Misalnya, terdapat aturan untuk menurunkan fungsi berpangkat, fungsi hasil penjumlahan atau pengurangan, serta fungsi yang dikalikan dengan konstanta. Semua aturan ini membantu menyederhanakan proses perhitungan turunan, terutama ketika fungsi terdiri dari beberapa suku yang kompleks.

Turunan juga memiliki banyak aplikasi praktis dalam kehidupan sehari-hari, seperti dalam perencanaan bisnis, teknik, dan ilmu pengetahuan. Dengan memahami turunan, seseorang dapat memprediksi perubahan, menganalisis tren, dan mengambil keputusan yang lebih tepat berdasarkan data matematis. Oleh karena itu, memahami konsep dasar turunan sangat penting bagi siswa sebagai bekal untuk mempelajari topik lanjutan di matematika maupun dalam dunia kerja.

Turunan dari fungsi berikut adalah :

1. mr014-2.jpg

2. mr014-3.jpg

50%
100%
0%
100%
0%
View this question
Integral Tak Tentu

grp006-1.jpg

Integral tak tentu adalah salah satu konsep dasar dalam kalkulus integral yang digunakan untuk mencari fungsi asal dari suatu turunan. Dengan kata lain, integral tak tentu merupakan proses kebalikan dari turunan. Jika suatu fungsi diturunkan menghasilkan turunan tertentu, maka integral tak tentu dari turunan tersebut akan mengembalikan fungsi asalnya. Hasil dari integral tak tentu disebut sebagai fungsi antiturunan dan selalu disertai dengan konstanta integrasi, karena proses integrasi tidak bisa menentukan nilai konstanta tersebut secara pasti.

Simbol yang digunakan untuk menyatakan integral tak tentu adalah tanda grp006-2.jpg, diikuti oleh fungsi yang ingin diintegralkan, dan diakhiri dengan variabel yang digunakan. Proses ini disebut "mengintegralkan" fungsi. Sebagai contoh, jika suatu fungsi memiliki bentuk sederhana seperti f(x)=2x, maka hasil integral tak tentu dari fungsi ini adalah xgrp006-3.jpg+ C, di mana C adalah konstanta integrasi. Konstanta ini mencerminkan bahwa ada banyak fungsi yang memiliki turunan sama, hanya berbeda pada nilai tetapnya saja.

Integral tak tentu sangat berguna dalam berbagai bidang matematika dan ilmu terapan, karena membantu dalam menemukan fungsi asli yang menggambarkan suatu fenomena berdasarkan laju perubahannya. Dalam fisika, misalnya, integral digunakan untuk menentukan posisi dari kecepatan, atau menentukan gaya dari percepatan. Demikian juga dalam ekonomi, integral membantu menentukan total pendapatan atau biaya dari fungsi marginal.

Pemahaman tentang integral tak tentu merupakan fondasi penting sebelum mempelajari integral tentu dan aplikasi-aplikasinya. Untuk menguasainya, diperlukan pemahaman kuat terhadap aturan turunan, karena sebagian besar teknik integrasi merupakan kebalikan dari aturan-aturan turunan. Selain itu, keterampilan dalam aljabar dan pengenalan berbagai bentuk fungsi seperti polinomial, trigonometri, eksponensial, dan logaritma juga sangat membantu dalam proses integrasi.

Cocokkan setiap pertanyaan di kolom A dengan jawaban yang sesuai di kolom B.

Kolom A

Soal
Kolom B

Jawaban
1. grp006-4.jpga.      grp006-5.jpg
2.      grp006-6.jpgb.      grp006-7.jpg
3.      grp006-8.jpgc.      grp006-9.jpg
4.      grp006-10.jpgd.      grp006-11.jpg
5.      grp006-12.jpge.      grp006-13.jpg
View this question
Integral Tak Tentu

grp008-1.jpg

Integral tak tentu adalah salah satu konsep dasar dalam kalkulus integral yang digunakan untuk mencari fungsi asal dari suatu turunan. Dengan kata lain, integral tak tentu merupakan proses kebalikan dari turunan. Jika suatu fungsi diturunkan menghasilkan turunan tertentu, maka integral tak tentu dari turunan tersebut akan mengembalikan fungsi asalnya. Hasil dari integral tak tentu disebut sebagai fungsi antiturunan dan selalu disertai dengan konstanta integrasi, karena proses integrasi tidak bisa menentukan nilai konstanta tersebut secara pasti.

Simbol yang digunakan untuk menyatakan integral tak tentu adalah tanda grp008-2.jpg, diikuti oleh fungsi yang ingin diintegralkan, dan diakhiri dengan variabel yang digunakan. Proses ini disebut "mengintegralkan" fungsi. Sebagai contoh, jika suatu fungsi memiliki bentuk sederhana seperti f(x)=2x, maka hasil integral tak tentu dari fungsi ini adalah xgrp008-3.jpg+ C, di mana C adalah konstanta integrasi. Konstanta ini mencerminkan bahwa ada banyak fungsi yang memiliki turunan sama, hanya berbeda pada nilai tetapnya saja.

Integral tak tentu sangat berguna dalam berbagai bidang matematika dan ilmu terapan, karena membantu dalam menemukan fungsi asli yang menggambarkan suatu fenomena berdasarkan laju perubahannya. Dalam fisika, misalnya, integral digunakan untuk menentukan posisi dari kecepatan, atau menentukan gaya dari percepatan. Demikian juga dalam ekonomi, integral membantu menentukan total pendapatan atau biaya dari fungsi marginal.

Pemahaman tentang integral tak tentu merupakan fondasi penting sebelum mempelajari integral tentu dan aplikasi-aplikasinya. Untuk menguasainya, diperlukan pemahaman kuat terhadap aturan turunan, karena sebagian besar teknik integrasi merupakan kebalikan dari aturan-aturan turunan. Selain itu, keterampilan dalam aljabar dan pengenalan berbagai bentuk fungsi seperti polinomial, trigonometri, eksponensial, dan logaritma juga sangat membantu dalam proses integrasi.

Cocokkan setiap pertanyaan di kolom A dengan jawaban yang sesuai di kolom B.

Kolom A

Soal
Kolom B

Jawaban
1. grp008-4.jpga.      grp008-5.jpg
2.      grp008-6.jpgb.      grp008-7.jpg
3.      grp008-8.jpgc.      grp008-9.jpg
4.      grp008-10.jpgd.      grp008-11.jpg
5.      grp008-12.jpge.      grp008-13.jpg
View this question
Integral Tak Tentu

grp009-1.jpg

Integral tak tentu adalah salah satu konsep dasar dalam kalkulus integral yang digunakan untuk mencari fungsi asal dari suatu turunan. Dengan kata lain, integral tak tentu merupakan proses kebalikan dari turunan. Jika suatu fungsi diturunkan menghasilkan turunan tertentu, maka integral tak tentu dari turunan tersebut akan mengembalikan fungsi asalnya. Hasil dari integral tak tentu disebut sebagai fungsi antiturunan dan selalu disertai dengan konstanta integrasi, karena proses integrasi tidak bisa menentukan nilai konstanta tersebut secara pasti.

Simbol yang digunakan untuk menyatakan integral tak tentu adalah tanda grp009-2.jpg, diikuti oleh fungsi yang ingin diintegralkan, dan diakhiri dengan variabel yang digunakan. Proses ini disebut "mengintegralkan" fungsi. Sebagai contoh, jika suatu fungsi memiliki bentuk sederhana seperti f(x)=2x, maka hasil integral tak tentu dari fungsi ini adalah xgrp009-3.jpg+ C, di mana C adalah konstanta integrasi. Konstanta ini mencerminkan bahwa ada banyak fungsi yang memiliki turunan sama, hanya berbeda pada nilai tetapnya saja.

Integral tak tentu sangat berguna dalam berbagai bidang matematika dan ilmu terapan, karena membantu dalam menemukan fungsi asli yang menggambarkan suatu fenomena berdasarkan laju perubahannya. Dalam fisika, misalnya, integral digunakan untuk menentukan posisi dari kecepatan, atau menentukan gaya dari percepatan. Demikian juga dalam ekonomi, integral membantu menentukan total pendapatan atau biaya dari fungsi marginal.

Pemahaman tentang integral tak tentu merupakan fondasi penting sebelum mempelajari integral tentu dan aplikasi-aplikasinya. Untuk menguasainya, diperlukan pemahaman kuat terhadap aturan turunan, karena sebagian besar teknik integrasi merupakan kebalikan dari aturan-aturan turunan. Selain itu, keterampilan dalam aljabar dan pengenalan berbagai bentuk fungsi seperti polinomial, trigonometri, eksponensial, dan logaritma juga sangat membantu dalam proses integrasi.

Cocokkan setiap pertanyaan di kolom A dengan jawaban yang sesuai di kolom B.

Kolom A

Soal
Kolom B

Jawaban
1. grp009-4.jpga.      grp009-5.jpg
2.      grp009-6.jpgb.      grp009-7.jpg
3.      grp009-8.jpgc.      3x + c
4.      grp009-9.jpgd.      grp009-10.jpg
5.      grp009-11.jpge.      grp009-12.jpg
View this question
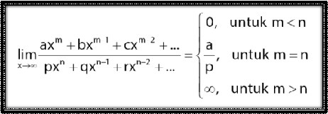
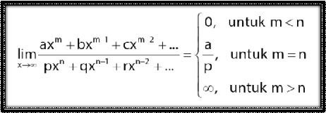
Limit Tak Hingga

mr012-1.jpg

Limit tak hingga adalah konsep dalam matematika yang membahas perilaku suatu fungsi ketika variabel mendekati nilai yang sangat besar, baik positif atau negatif. Dengan kata lain, kita melihat apa yang terjadi pada nilai fungsi saat mr012-2.jpg atau mr012-3.jpg. Limit ini membantu kita memahami bagaimana fungsi tersebut "berperilaku" di ujung-ujung garis bilangan.

Salah satu kasus umum limit tak hingga adalah fungsi rasional, yaitu fungsi yang berbentuk perbandingan dua polinomial. Ketika x menuju tak hingga, nilai dari fungsi ini bergantung pada derajat (pangkat tertinggi) polinomial pembilang dan penyebut. Jika pangkat pembilang lebih kecil, maka limitnya akan mendekati nol; jika sama, limitnya adalah rasio koefisien pangkat tertinggi; dan jika pangkat pembilang lebih besar, nilai fungsi akan menuju tak hingga atau negatif tak hingga.

Limit tak hingga juga sangat berguna untuk menentukan asimtot horizontal pada grafik fungsi. Asimtot horizontal adalah garis lurus yang mendekati grafik fungsi saat mr012-4.jpg. Dengan mengetahui limit tak hingga, kita dapat memprediksi apakah grafik fungsi tersebut akan mendekati garis tertentu sehingga memudahkan dalam menggambar grafik fungsi dan memahami sifat-sifatnya.

Memahami limit tak hingga adalah langkah awal untuk mempelajari topik-topik lanjutan dalam kalkulus, seperti kontinuitas, turunan, dan integral. Selain itu, konsep ini juga penting dalam aplikasi nyata, seperti analisis pertumbuhan populasi, kecepatan perubahan dalam fisika, dan optimasi dalam dunia teknik dan ekonomi. Dengan menguasai limit tak hingga, kamu akan lebih siap menghadapi materi matematika yang lebih kompleks dan penerapannya dalam kehidupan sehari-hari.

Hasil dari limit tak hingga berikut adalah :

1. mr012-5.jpg

2. mr012-6.jpg

0%
0%
0%
0%
0%
View this question
Limit Fungsi Aljabar

mc010-1.jpg

Limit adalah konsep dasar dalam matematika yang digunakan untuk memahami bagaimana sebuah fungsi mendekati nilai tertentu saat variabelnya mendekati suatu titik. Dalam dunia nyata, limit membantu kita melihat perilaku fungsi meskipun nilai pada titik tersebut mungkin tidak terdefinisi secara langsung. Misalnya, ketika kita ingin mengetahui nilai fungsi saat mendekati angka tertentu, limit menjadi alat yang sangat berguna.

Pada dasarnya, limit membahas nilai yang "didekati" oleh fungsi f(x) ketika x mendekati suatu angka a. Misalnya, jika kita tulis limmc010-2.jpg f(x)=L, artinya nilai fungsi f(x) mendekati L saat x mendekati a. Tidak selalu fungsi harus mencapai L pada x=a, tapi nilai fungsi tersebut harus semakin dekat dengan L ketika x semakin dekat dengan a.

Penggunaan limit sangat penting dalam berbagai bidang teknik dan teknologi, terutama untuk memodelkan perubahan yang terjadi secara terus-menerus, seperti kecepatan, suhu, dan tekanan. Dengan memahami limit, kita bisa membuat prediksi dan analisis yang lebih tepat terhadap fenomena tersebut, yang tentu sangat membantu dalam bidang teknik dan produksi.

Selain itu, limit menjadi dasar dari konsep turunan dan integral dalam kalkulus yang sering digunakan di bidang teknik. Pemahaman yang kuat tentang limit akan membantu siswa SMK dalam memahami materi yang lebih kompleks dan aplikasi praktis di dunia kerja nantinya. Oleh karena itu, memahami limit bukan hanya sekedar teori, tapi juga bekal penting dalam dunia teknik.

Hasil dari :

mc010-3.jpg

0%
0%
0%
0%
100%
View this question
Limit Tak Hingga

mr011-1.jpg

Limit tak hingga adalah konsep dalam matematika yang membahas perilaku suatu fungsi ketika variabel mendekati nilai yang sangat besar, baik positif atau negatif. Dengan kata lain, kita melihat apa yang terjadi pada nilai fungsi saat mr011-2.jpg atau mr011-3.jpg. Limit ini membantu kita memahami bagaimana fungsi tersebut "berperilaku" di ujung-ujung garis bilangan.

Salah satu kasus umum limit tak hingga adalah fungsi rasional, yaitu fungsi yang berbentuk perbandingan dua polinomial. Ketika x menuju tak hingga, nilai dari fungsi ini bergantung pada derajat (pangkat tertinggi) polinomial pembilang dan penyebut. Jika pangkat pembilang lebih kecil, maka limitnya akan mendekati nol; jika sama, limitnya adalah rasio koefisien pangkat tertinggi; dan jika pangkat pembilang lebih besar, nilai fungsi akan menuju tak hingga atau negatif tak hingga.

Limit tak hingga juga sangat berguna untuk menentukan asimtot horizontal pada grafik fungsi. Asimtot horizontal adalah garis lurus yang mendekati grafik fungsi saat mr011-4.jpg. Dengan mengetahui limit tak hingga, kita dapat memprediksi apakah grafik fungsi tersebut akan mendekati garis tertentu sehingga memudahkan dalam menggambar grafik fungsi dan memahami sifat-sifatnya.

Memahami limit tak hingga adalah langkah awal untuk mempelajari topik-topik lanjutan dalam kalkulus, seperti kontinuitas, turunan, dan integral. Selain itu, konsep ini juga penting dalam aplikasi nyata, seperti analisis pertumbuhan populasi, kecepatan perubahan dalam fisika, dan optimasi dalam dunia teknik dan ekonomi. Dengan menguasai limit tak hingga, kamu akan lebih siap menghadapi materi matematika yang lebih kompleks dan penerapannya dalam kehidupan sehari-hari.

Hasil dari limit tak hingga berikut adalah :

1. mr011-5.jpg

2. mr011-6.jpg

0%
100%
0%
100%
0%
View this question
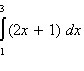
Integral Tentu

es066-1.jpg

Integral tentu adalah proses menghitung luas daerah di bawah kurva fungsi pada interval tertentu. Berbeda dengan integral tak tentu yang menghasilkan fungsi umum dengan konstanta integrasi, integral tentu menghasilkan nilai angka yang mewakili luas tersebut. Interval yang digunakan ditentukan oleh batas bawah dan batas atas, biasanya ditulis dengan tanda integral yang diikuti oleh batas bawah di bawah simbol integral dan batas atas di atasnya.

Proses menghitung integral tentu sering kali melibatkan menemukan fungsi primitif (antiturunan) dari fungsi yang diintegralkan, kemudian menghitung selisih nilai fungsi tersebut pada batas atas dan batas bawah. Metode ini dikenal sebagai Teorema Fundamental Kalkulus, yang menghubungkan operasi integral dan turunan secara langsung. Dengan menggunakan antiturunan, perhitungan integral menjadi lebih mudah dan praktis dibandingkan menghitung luas dengan cara penjumlahan kecil-kecil secara manual.

Integral tentu banyak digunakan dalam berbagai bidang seperti fisika, teknik, ekonomi, dan statistika. Misalnya, untuk menghitung jarak yang ditempuh dari kecepatan yang berubah-ubah, atau menentukan total keuntungan berdasarkan fungsi pendapatan marginal. Selain itu, integral tentu juga digunakan untuk menghitung luas area, volume benda putar, dan berbagai aplikasi lain yang membutuhkan akumulasi nilai dalam interval tertentu.

Pemahaman integral tentu sangat penting karena merupakan dasar bagi berbagai teknik lanjutan dalam kalkulus, seperti integral lipat, integral garis, dan aplikasi numerik. Menguasai konsep ini juga membantu dalam memahami bagaimana perubahan kecil diakumulasi menjadi perubahan besar dalam konteks matematika dan dunia nyata. Oleh karena itu, belajar integral tentu merupakan langkah penting dalam perjalanan mempelajari kalkulus secara menyeluruh.

Hitung integral tentu:

es066-2.jpg
View this question

Want instant access to all verified answers on lms.smktarunabhakti.sch.id?

Get Unlimited Answers To Exam Questions - Install Crowdly Extension Now!

Browser

Add to Chrome