logo

Crowdly

Browser

Add to Chrome

Вища математика 1ЕЛ (Весняний семестр)

Looking for Вища математика 1ЕЛ (Весняний семестр) test answers and solutions? Browse our comprehensive collection of verified answers for Вища математика 1ЕЛ (Весняний семестр) at mdl.kntu.net.ua.

Get instant access to accurate answers and detailed explanations for your course questions. Our community-driven platform helps students succeed!

Матеріальна точка масою 1 г рухається прямолінійно під дією

сили, що прямо пропорційна часу від моменту t = 0, й обернено

пропорційна швидкості руху точки. У момент t = 10 с швидкість

дорівнювала 0,5 м/с, а сила — 4 ⋅10

-5

Н. Якою буде швидкість

за хвилину після початку руху?

Відповідь подайте числом, округленим до десятих, без одиниць вимірювання

View this question

0%
0%
0%
100%
View this question
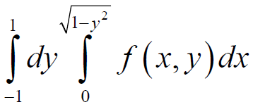
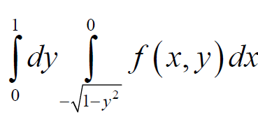
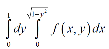
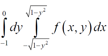
Якщо функція , то на площині хОу її область визначення має вигляд
0%
0%
0%
100%
View this question
Порядком диференціального рівняння називається:
0%
0%
0%
0%
View this question

 

Необхідна ознака збіжності числового

ряду формулюється так:

0%
0%
0%
100%
View this question
Раціональний дріб вважається правильним якщо степені многочленів:
0%
0%
View this question
Визначте правильну структуру частинного розв'язку рівняння
View this question
Визначте правильну структуру частинного розв'язку рівняння
0%
0%
0%
0%
View this question
Визначте правильну структуру частинного розв'язку рівняння
View this question
Визначте правильну структуру частинного розв'язку рівняння
0%
0%
0%
0%
0%
View this question

Want instant access to all verified answers on mdl.kntu.net.ua?

Get Unlimited Answers To Exam Questions - Install Crowdly Extension Now!

Browser

Add to Chrome