logo

Crowdly

Browser

Add to Chrome

Вища математика 1ЕЛ (Весняний семестр)

Looking for Вища математика 1ЕЛ (Весняний семестр) test answers and solutions? Browse our comprehensive collection of verified answers for Вища математика 1ЕЛ (Весняний семестр) at mdl.kntu.net.ua.

Get instant access to accurate answers and detailed explanations for your course questions. Our community-driven platform helps students succeed!

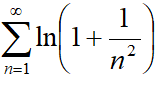
Який

з наведених рядів є функціональним?

0%
0%
0%
0%
View this question

Яка умова гарантує, що функція f(z)=u(x,y)+iv(x,y)f(z) = u(x, y) + i v(x, y) є аналітичною?

0%
0%
0%
View this question

У яких прикладних задачах доцільно використовувати диференціальні рівняння?

(Оберіть усі правильні варіанти)

0%
0%
0%
100%
0%
View this question
Якщо , то
0%
0%
0%
0%
0%
View this question

View this question

Множина всіх первісних

для функції

f(x)

називається __________

інтегралом

0%
100%
0%
View this question

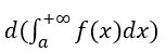
Дослідження на

збіжність невласного інтеграла 1-го роду зводиться до знаходження _________

0%
0%
100%
View this question
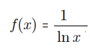
Знайдіть функцію f, якщо:

                                  

0%
0%
0%
0%
View this question

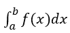
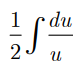
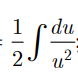
Виконайте заміну змінної в інтегралі:

                 

0%
100%
0%
0%
0%
View this question
Якщо функція z=f(x,y) неперервна в обмеженій замкненій області D, то вона там:
0%
0%
0%
0%
View this question

Want instant access to all verified answers on mdl.kntu.net.ua?

Get Unlimited Answers To Exam Questions - Install Crowdly Extension Now!

Browser

Add to Chrome