logo

Crowdly

Browser

Add to Chrome

Технічна механіка. Теоретична та прикладна механіка (екзаменаційний тест 2025)

Looking for Технічна механіка. Теоретична та прикладна механіка (екзаменаційний тест 2025) test answers and solutions? Browse our comprehensive collection of verified answers for Технічна механіка. Теоретична та прикладна механіка (екзаменаційний тест 2025) at mdl.ksma.ks.ua.

Get instant access to accurate answers and detailed explanations for your course questions. Our community-driven platform helps students succeed!

Вкажіть правильний напрямок реакцій зв'язків - ниток 1 і 2, що втримують

кулю

0%
0%
0%
View this question

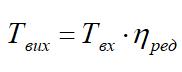
Що

відбудеться з потужністю на виході редуктора?

0%
0%
0%
0%
0%
0%
View this question

Яку кількість зубів z2

повинна мати ведена зірочка, щоб крутний момент на вихідному валу збільшився у

19,5 разів, якщо z

1= 18;   z3

=

28;  z

4= 84?

0%
0%
0%
0%
0%
0%
View this question

У

чотирьох ромбів одна і та ж площа поперечного перерізу. В якому випадку

значення моменту інерції щодо осі

x (Ix) найменше?

View this question

Крапка А одного зі шківів має швидкість VA=8 см/с. Швидкість крапки В іншого шківа в цьому випадку дорівнює

0%
0%
0%
0%
View this question

Як

зміниться кутова швидкість веденого колеса, якщо збільшиться число його зубів

при незмінному числі зубів на ведучій шестерні:

View this question

Ведуче

колесо  має 10 зубів. Яка можлива

кількість зубів у веденого колеса?

View this question

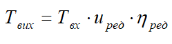
При заданому значенні крутного моменту на вході редуктора момент на

виході визначається як:

0%
0%
0%
0%
0%
0%
View this question

View this question

Яка форма зубів у зубчастого колеса циліндричної передачі?

0%
0%
0%
0%
View this question

Want instant access to all verified answers on mdl.ksma.ks.ua?

Get Unlimited Answers To Exam Questions - Install Crowdly Extension Now!

Browser

Add to Chrome