logo

Crowdly

Browser

Add to Chrome

Управљање пројектима

Looking for Управљање пројектима test answers and solutions? Browse our comprehensive collection of verified answers for Управљање пројектима at mef.rs.

Get instant access to accurate answers and detailed explanations for your course questions. Our community-driven platform helps students succeed!

Предности које доноси процес управљања

пројектима су:

100%
100%
100%
100%
100%
100%
100%
0%
100%
100%
100%
100%
0%
100%
View this question

Допуните одговор - Предности пројектне организације за управљање пројектима су: 

а) Интегрише пројектне циљеве и чини их јако уочљивим

б) Пројектни тим је фокусиран на пројекте, његове циљеве и резултате

в) Нема преклапања одговорности и надлежности између руководилаца

г) Погодност за испољавање иновативних активности у оквиру пројекта

д) Има све потребне ресурсе

ђ) Пројектни тим је високо самосталан

е) Нема кључних сукоба приоритета у извршавању задатака

View this question

RACI

(Resposability, Accountability, Communication, Information)

матрица

представља

комбинацију WBS и OBS технике и повезује послове које треба извршити,

добијене једном и извршиоце тих послова, добијене другом техником.

100%
0%
View this question
Рок враћања је период за који ће нето прилив (ефекаткоји настаје експлоатацијом 

инвестиције да отплати средства уложена у њену реализацију

Са становишта инвеститорапотребно је да овај рок буде што краћи

Рок враћања, изражен у годинама израчунава се према обрасцу:

а)  б)  в) 

t = рок враћања

NP = годишњи нето прилив од инвестиције

I = укупно уложена средства (инвестиција)

0%
100%
0%
View this question

Процеси реализације представљају

групу

процеса којима се извршава посао дефинисан планом за управљање пројектима, а

самим тим остварују циљеви пројекта.

  • Ова група процеса подразумева координацију људских и

    других ресурса, као и интеграцију и извршавање пројектних активности у складу

    са планом за управљање пројектима.

  • Одступања од нормалне реализације могу резултирати

    накнадним планирањем. 

0%
0%
View this question

Модели оцењивања

користе 

се и у другим сегментима пословања, где у обзир долази више алтернатива.

  • Најпре се дефинишу критеријуми закоришћење у моделу који зависе од подручја примене пројекта и делатности организације.

  • Сваком критеријуму додељује се пондер у зависности од важностиа потом се сваки пројекат оцени по критеријумимау складу са учинком.

  • Након тога се резултатиза сваки критеријумпомноже са вредношћу пондера који он носи и саберу какоби се добио укупан резултат.
На основу резултата приказаних у табели који пројекат представља најприхватљивију опцију?

0%
100%
0%
View this question

WBS

представљa

грaфички орјентисан алат зa декомпоновање очекиваног

резултата и посла на мање целине, дo нивоа на кojем je могуће проценити свe

неопходне елементе неког посла. 

0%
0%
View this question

Структуирање пројекта представља његово растављање на мањесаставне делове у циљу 

његовог бољег сагледавања. Структуирањем се дефинише обим пројекта и разлаже 

целокупан посао на мање компоненте у циљу лакшег планирањапроцене и контроле.

100%
0%
View this question

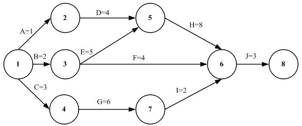
Критични пут показује најкраће време за које се пројекат може завршити

Иако је најдужион представља најкраће време потребно за завршетак пројекта.

На дијаграму на доњој слици одредите активности које се налазе на критичном путу:

0%
0%
100%
0%
View this question

Организационе форме класичног приступа организације за управљање пројектима 

0%
0%
0%
100%
100%
0%
100%
0%
View this question

Want instant access to all verified answers on mef.rs?

Get Unlimited Answers To Exam Questions - Install Crowdly Extension Now!

Browser

Add to Chrome