logo

Crowdly

Browser

Add to Chrome

Физика. Механика (2025)

Looking for Физика. Механика (2025) test answers and solutions? Browse our comprehensive collection of verified answers for Физика. Механика (2025) at moodle2.petrsu.ru.

Get instant access to accurate answers and detailed explanations for your course questions. Our community-driven platform helps students succeed!

На шкив радиуса r = 5 см маятника Обербека намотана нить, на которую действует постоянная сила F = 5 Н. Через какое время после начала вращения маятника вокруг горизонтальной оси 0 его момент импульса станет равным 2,5 кг·м2-1?

Рисунок

View this question

На диск в точке А действуют равные по величине силы F1, F2, F3. Какие из сил создают одинаковые моменты относительно вертикальной оси 00?

Рисунок 

0%
0%
0%
View this question

В кабине лифта, движущегося вверх с ускорением а = 3 м/с2, установлены пружинные весы, к которым подвешено тело массой m = 6,9 кг. Каково удлинение пружины, если ее коэффициент жесткости k = 3·103 Н/м? Ответ приведите в см.

View this question

Пластилиновый шар, движущийся вертикально вверх со скоростью va сталкивается с шаром Б и прилипает к нему. На какую высоту h подпрыгнут шары после удара, если ma = 2mб?

Рисунок

View this question

Тяжелый шарик, подвешенный на упругой нити, совершает затухающие колебания около положения равновесия. Указать силы, действующие на шарик в положении 1.

Рисунок 
View this question

Узкая однородная тонкая прямоугольная пластина массой mп = 10 кг и шириной l = 1 м может свободно вращаться вокруг вертикальной оси OO’. В точку A, находящуюся на расстоянии x = 2l/3 от оси, ударяется шар массой m = 1 кг, летящий перпендикулярно к пластине со скоростью υ = 10 м/с. Найдите линейную скорость шара после взаимодействия (ответ вводите с учётом знака). Удар считать абсолютно упругим.

Рисунок

View this question

Человек массой m = 70 кг находится на неподвижном диске массой Mд = 700 кг и радиусом R = 2 м. Диск может вращаться без трения вокруг вертикальной оси, проходящей через центр масс. С какой угловой скоростью будет вращаться диск, когда человек начнет движение по окружности со скоростью u' = 0,22 м/с относительно оси вращения диска радиусом r = 1 м?

View this question

Узкая длинная доска массой mд = 10 кг, подвешенная к потолку, может свободно вращаться вокруг точки подвеса в вертикальной плоскости. В нижний край доски попадает пуля массой m = 10 г, летящая в горизонтальном направлении со скоростью υ = 400 м/с. Пуля застревает в доске. Найдите максимальную высоту, на которую поднимется нижний край доски. Ответ выразите в см.

Рисунок

View this question

Как изменится момент импульса шара, совершающего вращательное движение относительно закрепленной оси, проходящей через центр масс шара, если его кинетическая энергия в результате внешнего воздействия увеличится в четыре раза?

Рисунок

View this question

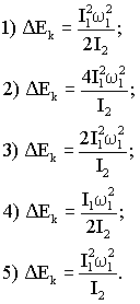
Экспериментатор стоит на специальной табуретке и держит в руках вертикально расположенную ось свободно вращающегося колеса, имеющего момент инерции I1 относительно этой оси АА (см. рисунок). Колесо при этом вращается с угловой скоростью ω1, а табуретка покоится. Табуретка может свободно вращаться вокруг вертикальной оси, т.е. представляет собой так называемую скамью Жуковского. Суммарный момент инерции табуретки и экспериментатора вокруг вертикальной оси равен I2. Ось колеса и ось вращения табуретки лежат на одной прямой. На какую величину ΔΕк изменится кинетическая энергия Ек системы "табуретка, экспериментатор, колесо", если экспериментатор повернет ось колеса на 900?

Рисунок Рисунок к ответам

View this question

Want instant access to all verified answers on moodle2.petrsu.ru?

Get Unlimited Answers To Exam Questions - Install Crowdly Extension Now!

Browser

Add to Chrome